🇳🇴 🇬🇧 🇩🇪 🇨🇿 🇫🇮

Meteor, poloha: Tvedestrand 2023-04-21 02:13:33 UTC

Soubor KML  |  InteraktivnĂ­ mapa

Mapa zobrazuje dráhy meteoru. Světlejší čáry ukazují směry od pozorovacích stanic při objevení se meteoru a tmavší čáry, kde byl naposledy viděn. Modrá šipka značí viditelnou dráhu meteoru.

static map
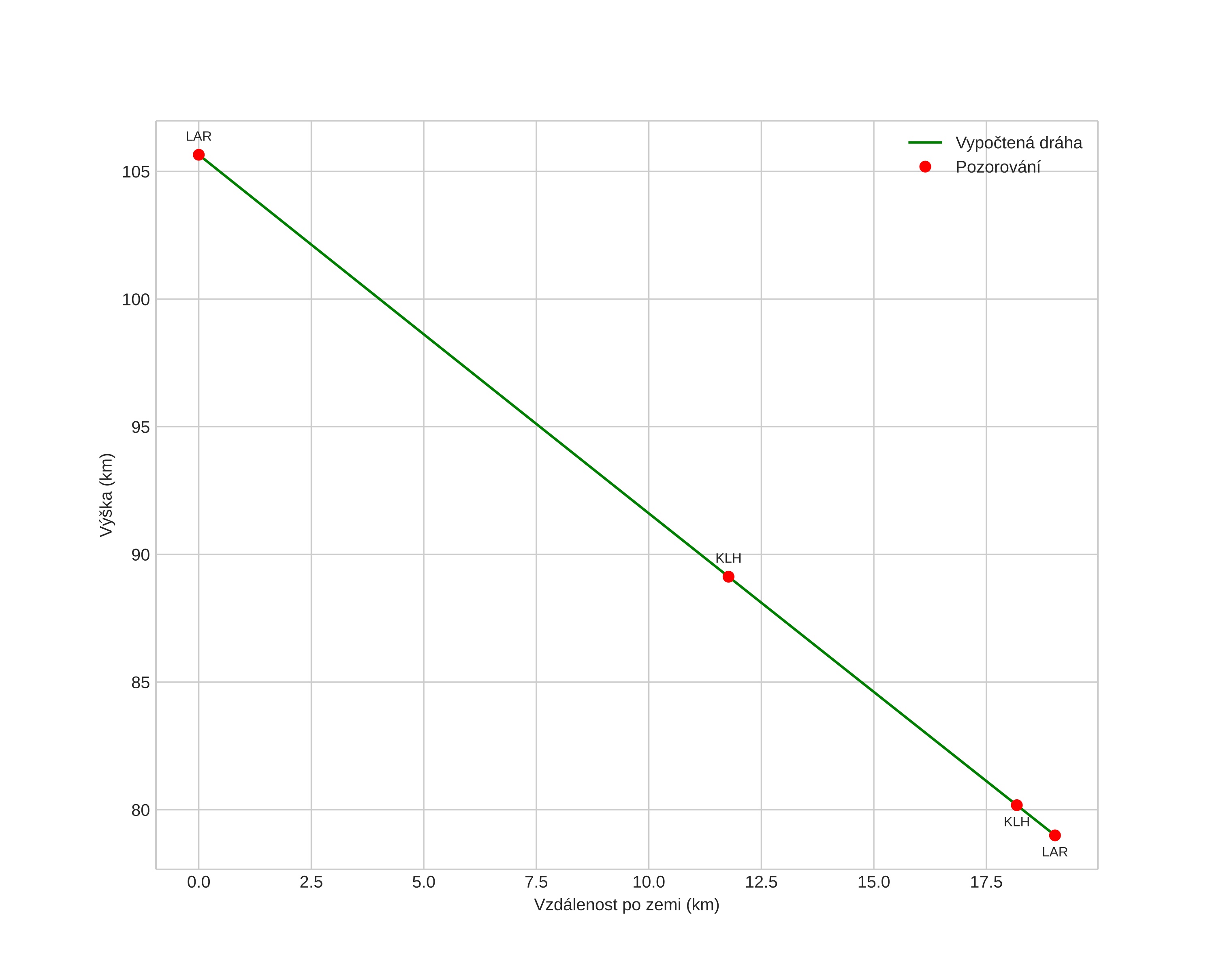
height profile
Atmosférická dráha meteoru:
Počáteční výška: 105,6 km
Konečná výška: 79,0 km
Počáteční poloha: 58,289N 9,241E
Konečná poloha: 58,449N 9,132E
Směr: 340,4°
Sklon: 54,7°
VstupnĂ­ rychlost: 53,1 km/s
Rektascenze radiantu: 17:32 (263,2°)
Deklinace radiantu: 23,6°
MeteorickĂ˝ roj: sporadickĂ˝
Elementy dráhy meteoroidu:
Vzdálenost v periheliu: 0,766 AU
Excentricita: 1,139
Sklon dráhy: 86,6°
Délka vzestupného uzlu: 30,4°
Argument perihelia: 236,4°
Střední anomálie: -2,4°
Epocha: 2023 APR 21 02:13:33
orbit plot

NeinteraktivnĂ­ graf | InteraktivnĂ­ graf

position vs time
speed and acceleration