🇳🇴 🇬🇧 🇩🇪 🇨🇿 🇫🇮

Meteor Tvedestrandin yllä 2023-04-21 02:13:33 UTC

KML-tiedosto  |  Interaktiivinen kartta

Kartta näyttää meteorin suuntahavainnot. Vaaleammat viivat näyttävät suunnat havaintoasemilta meteorin ilmestyessä, ja tummemmat viivat näyttävät, missä se viimeksi nähtiin. Sininen nuoli näyttää meteorin näkyvän lennon.

static map
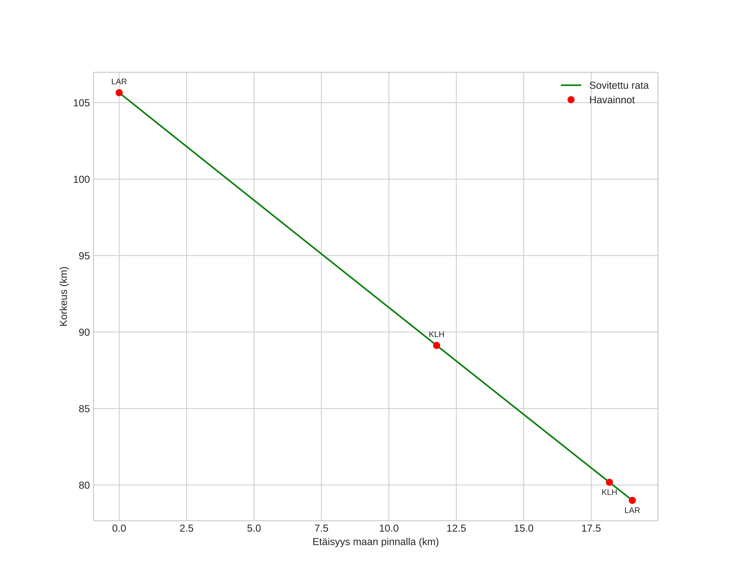
height profile
Meteorin ilmakehärata:
Alkukorkeus: 105,6 km
Loppukorkeus: 79,0 km
Alkupiste: 58,289N 9,241E
Loppupiste: 58,449N 9,132E
Suunta: 340,4°
Kallistuskulma: 54,7°
Tulonopeus: 53,1 km/s
Radiantin R,A,: 17:32 (263,2°)
Radiantin Dekl,: 23,6°
Meteoriparvi: Sporadinen
Meteoroidin rataelementit:
Perihelietäisyys: 0,766 AU
Eksentrisyys: 1,139
Inklinaatio: 86,6°
Nousevan solmun pituus: 30,4°
Perihelin argumentti: 236,4°
Keskianomalia: -2,4°
Epookki: 2023 APR 21 02:13:33
orbit plot

Ei-interaktiivinen kuvaaja | Interaktiivinen kuvaaja

position vs time
speed and acceleration