🇳🇴 🇬🇧 🇩🇪 🇨🇿 🇫🇮

Meteor, poloha: Hvide Sande 2023-04-21 21:00:26 UTC

Soubor KML  |  InteraktivnĂ­ mapa

Mapa zobrazuje dráhy meteoru. Světlejší čáry ukazují směry od pozorovacích stanic při objevení se meteoru a tmavší čáry, kde byl naposledy viděn. Modrá šipka značí viditelnou dráhu meteoru.

static map
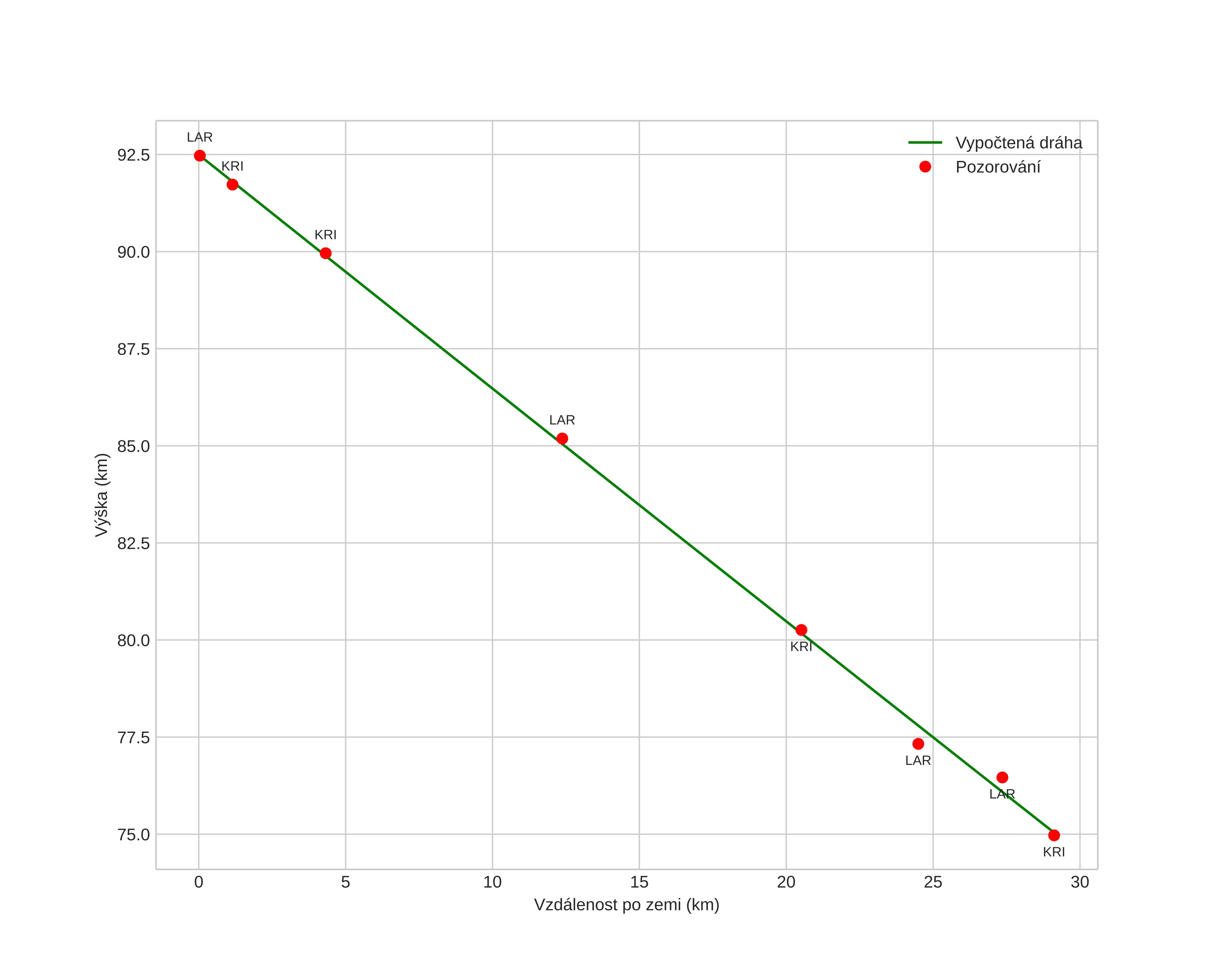
height profile
Atmosférická dráha meteoru:
Počáteční výška: 92,5 km
Konečná výška: 75,7 km
Počáteční poloha: 56,452N 7,076E
Konečná poloha: 56,202N 7,090E
Směr: 178,1°
Sklon: 31,2°
VstupnĂ­ rychlost: 28,9 km/s
Rektascenze radiantu: 23:44 (356,1°)
Deklinace radiantu: 62,0°
MeteorickĂ˝ roj: sporadickĂ˝
Elementy dráhy meteoroidu:
Vzdálenost v periheliu: 0,849 AU
Excentricita: 0,895
Sklon dráhy: 35,7°
Délka vzestupného uzlu: 31,2°
Argument perihelia: 132,1°
Střední anomálie: 1,3°
Epocha: 2023 APR 21 21:00:26
orbit plot

NeinteraktivnĂ­ graf | InteraktivnĂ­ graf

position vs time
speed and acceleration