🇳🇴 🇬🇧 🇩🇪 🇨🇿 🇫🇮

Meteor Hvide Sanden yllä 2023-04-21 21:00:26 UTC

KML-tiedosto  |  Interaktiivinen kartta

Kartta näyttää meteorin suuntahavainnot. Vaaleammat viivat näyttävät suunnat havaintoasemilta meteorin ilmestyessä, ja tummemmat viivat näyttävät, missä se viimeksi nähtiin. Sininen nuoli näyttää meteorin näkyvän lennon.

static map
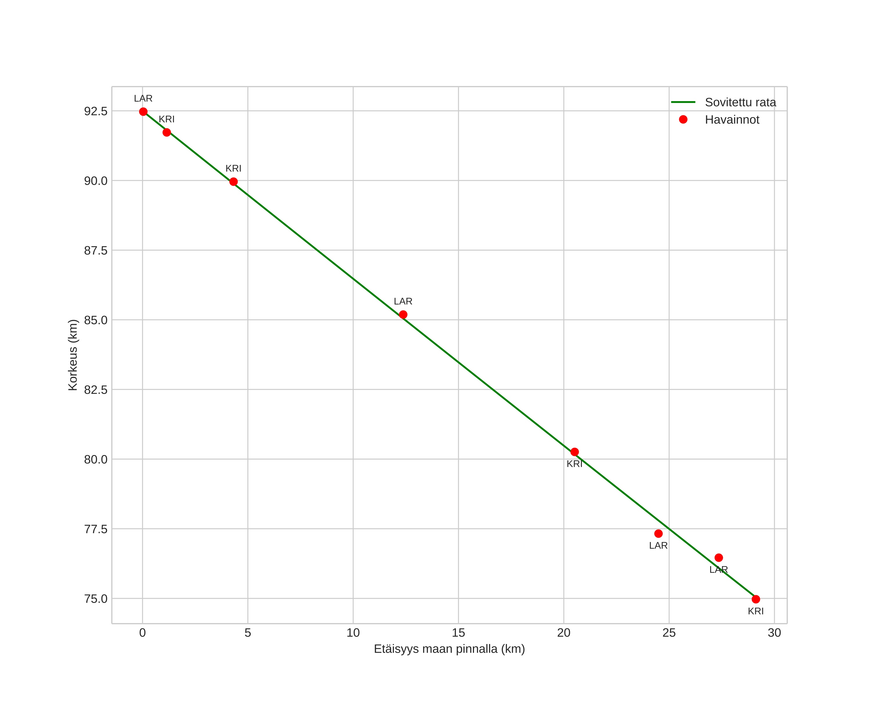
height profile
Meteorin ilmakehärata:
Alkukorkeus: 92,5 km
Loppukorkeus: 75,7 km
Alkupiste: 56,452N 7,076E
Loppupiste: 56,202N 7,090E
Suunta: 178,1°
Kallistuskulma: 31,2°
Tulonopeus: 28,9 km/s
Radiantin R,A,: 23:44 (356,1°)
Radiantin Dekl,: 62,0°
Meteoriparvi: Sporadinen
Meteoroidin rataelementit:
Perihelietäisyys: 0,849 AU
Eksentrisyys: 0,895
Inklinaatio: 35,7°
Nousevan solmun pituus: 31,2°
Perihelin argumentti: 132,1°
Keskianomalia: 1,3°
Epookki: 2023 APR 21 21:00:26
orbit plot

Ei-interaktiivinen kuvaaja | Interaktiivinen kuvaaja

position vs time
speed and acceleration