🇳🇴 🇬🇧 🇩🇪 🇨🇿 🇫🇮

Meteor, poloha: Björboholm 2023-05-02 21:07:34 UTC

Soubor KML  |  InteraktivnĂ­ mapa

Mapa zobrazuje dráhy meteoru. Světlejší čáry ukazují směry od pozorovacích stanic při objevení se meteoru a tmavší čáry, kde byl naposledy viděn. Modrá šipka značí viditelnou dráhu meteoru.

static map
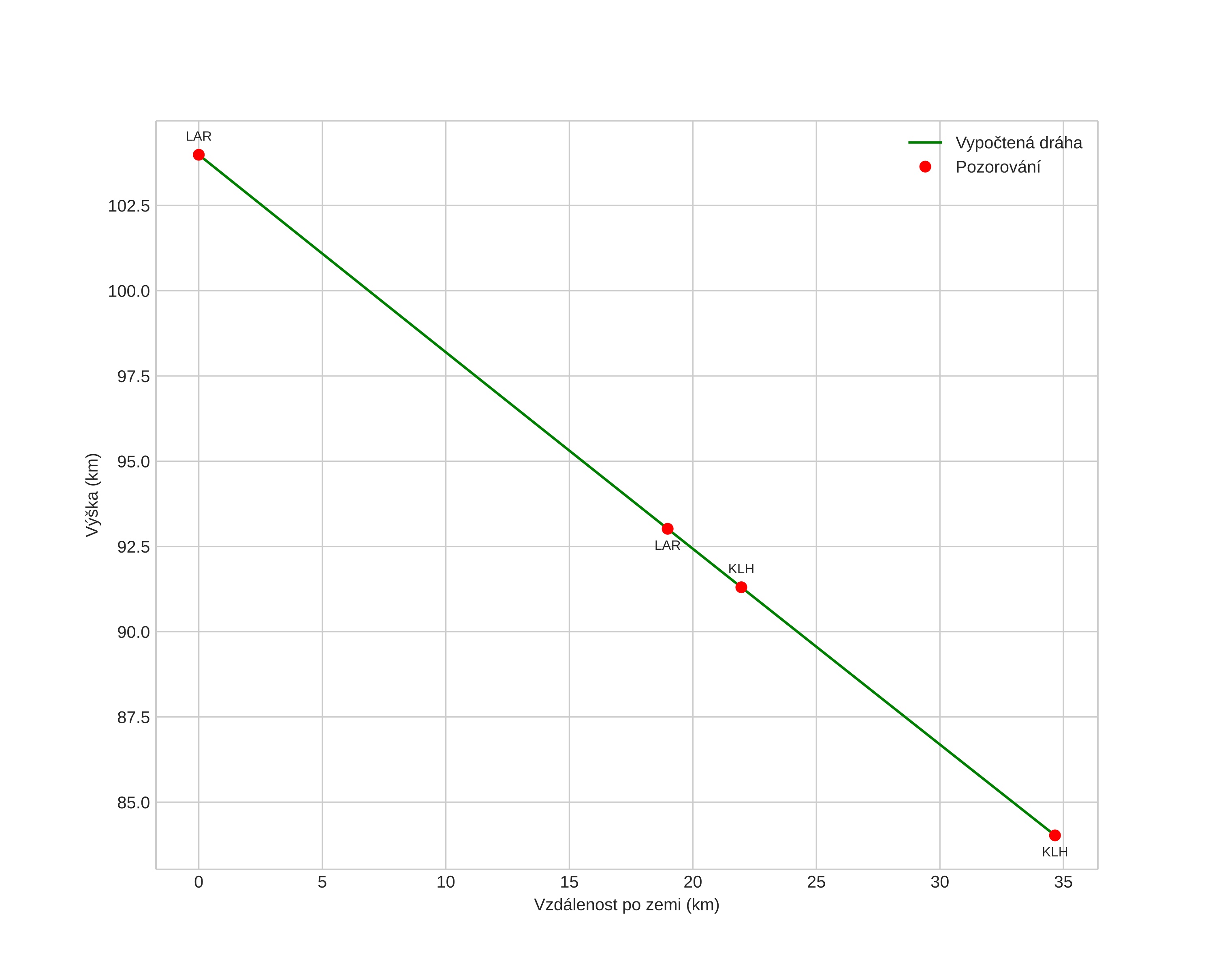
height profile
Atmosférická dráha meteoru:
Počáteční výška: 104,0 km
Konečná výška: 84,1 km
Počáteční poloha: 57,974N 12,868E
Konečná poloha: 57,887N 12,306E
Směr: 253,8°
Sklon: 29,9°
VstupnĂ­ rychlost: 42,0 km/s
Rektascenze radiantu: 18:26 (276,7°)
Deklinace radiantu: 32,6°
MeteorickĂ˝ roj: sporadickĂ˝
Elementy dráhy meteoroidu:
Vzdálenost v periheliu: 0,873 AU
Excentricita: 0,597
Sklon dráhy: 72,9°
Délka vzestupného uzlu: 41,9°
Argument perihelia: 230,0°
Střední anomálie: 348,8°
Epocha: 2023 MAY 02 21:07:34
orbit plot

NeinteraktivnĂ­ graf | InteraktivnĂ­ graf

position vs time
speed and acceleration