🇳🇴 🇬🇧 🇩🇪 🇨🇿 🇫🇮

Meteor über Björboholm 2023-05-02 21:07:34 UTC

KML-Datei  |  Interaktive Karte

Die Karte zeigt die Peilungen für den Meteor. Die helleren Linien zeigen die Richtungen von den Beobachtungsorten beim Erscheinen des Meteors, und die dunkleren Linien, wo er zuletzt gesehen wurde. Der blaue Pfeil zeigt die sichtbare Bahn des Meteors.

static map
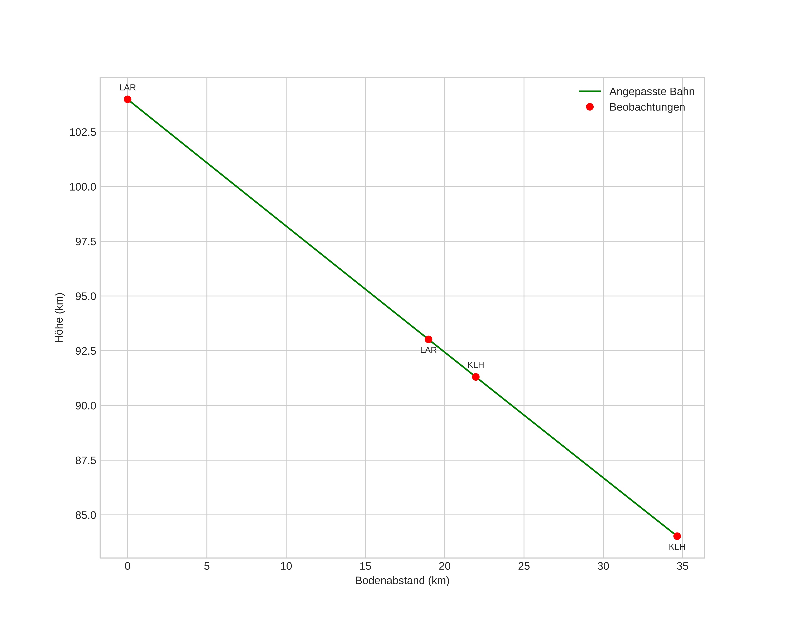
height profile
Atmosphärische Bahn des Meteors:
Anfangshöhe: 104,0 km
Endhöhe: 84,1 km
Startposition: 57,974N 12,868E
Endposition: 57,887N 12,306E
Richtung: 253,8°
Neigungswinkel: 29,9°
Eintrittsgeschwindigkeit: 42,0 km/s
Rektaszension des Radianten: 18:26 (276,7°)
Deklination des Radianten: 32,6°
Meteorstrom: sporadisch
Bahnelemente des Meteoroiden:
Periheldistanz: 0,873 AU
Exzentrizität: 0,597
Inklination: 72,9°
Länge des aufsteigenden Knotens: 41,9°
Argument des Perihels: 230,0°
Mittlere Anomalie: 348,8°
Epoche: 2023 MAY 02 21:07:34
orbit plot

Nicht-interaktives Diagramm | Interaktives Diagramm

position vs time
speed and acceleration