🇳🇴 🇬🇧 🇩🇪 🇨🇿 🇫🇮

Meteor, poloha: Byrum 2023-05-02 21:29:58 UTC

Soubor KML  |  InteraktivnĂ­ mapa

Mapa zobrazuje dráhy meteoru. Světlejší čáry ukazují směry od pozorovacích stanic při objevení se meteoru a tmavší čáry, kde byl naposledy viděn. Modrá šipka značí viditelnou dráhu meteoru.

static map
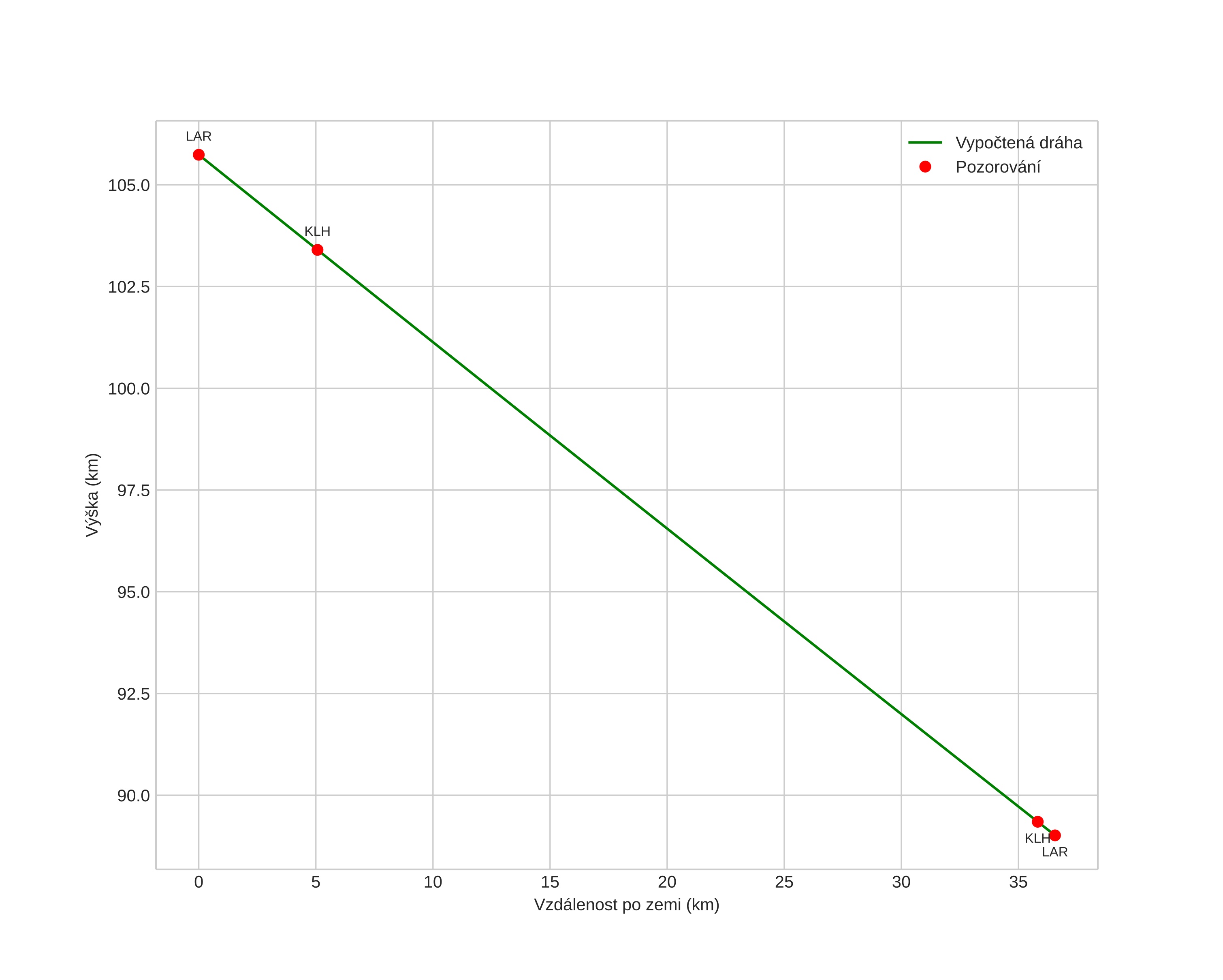
height profile
Atmosférická dráha meteoru:
Počáteční výška: 105,7 km
Konečná výška: 89,0 km
Počáteční poloha: 57,542N 11,643E
Konečná poloha: 57,581N 11,035E
Směr: 277,1°
Sklon: 24,6°
VstupnĂ­ rychlost: 56,2 km/s
Rektascenze radiantu: 17:40 (265,2°)
Deklinace radiantu: 16,3°
MeteorickĂ˝ roj: sporadickĂ˝
Elementy dráhy meteoroidu:
Vzdálenost v periheliu: 0,614 AU
Excentricita: 1,293
Sklon dráhy: 88,1°
Délka vzestupného uzlu: 41,9°
Argument perihelia: 252,1°
Střední anomálie: -10,9°
Epocha: 2023 MAY 02 21:29:58
orbit plot

NeinteraktivnĂ­ graf | InteraktivnĂ­ graf

position vs time
speed and acceleration