🇳🇴 🇬🇧 🇩🇪 🇨🇿 🇫🇮

Meteor Byrumin yllä 2023-05-02 21:29:58 UTC

KML-tiedosto  |  Interaktiivinen kartta

Kartta näyttää meteorin suuntahavainnot. Vaaleammat viivat näyttävät suunnat havaintoasemilta meteorin ilmestyessä, ja tummemmat viivat näyttävät, missä se viimeksi nähtiin. Sininen nuoli näyttää meteorin näkyvän lennon.

static map
height profile
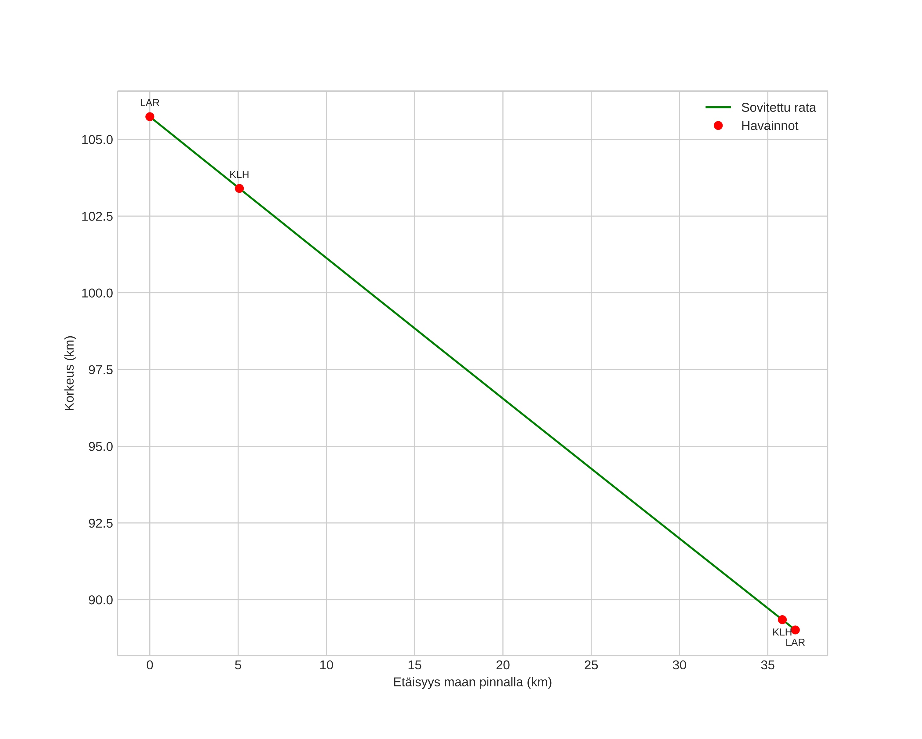
Meteorin ilmakehärata:
Alkukorkeus: 105,7 km
Loppukorkeus: 89,0 km
Alkupiste: 57,542N 11,643E
Loppupiste: 57,581N 11,035E
Suunta: 277,1°
Kallistuskulma: 24,6°
Tulonopeus: 56,2 km/s
Radiantin R,A,: 17:40 (265,2°)
Radiantin Dekl,: 16,3°
Meteoriparvi: Sporadinen
Meteoroidin rataelementit:
Perihelietäisyys: 0,614 AU
Eksentrisyys: 1,293
Inklinaatio: 88,1°
Nousevan solmun pituus: 41,9°
Perihelin argumentti: 252,1°
Keskianomalia: -10,9°
Epookki: 2023 MAY 02 21:29:58
orbit plot

Ei-interaktiivinen kuvaaja | Interaktiivinen kuvaaja

position vs time
speed and acceleration