🇳🇴 🇬🇧 🇩🇪 🇨🇿 🇫🇮

Meteor, poloha: Rørvig 2023-05-05 00:00:30 UTC

Soubor KML  |  InteraktivnĂ­ mapa

Mapa zobrazuje dráhy meteoru. Světlejší čáry ukazují směry od pozorovacích stanic při objevení se meteoru a tmavší čáry, kde byl naposledy viděn. Modrá šipka značí viditelnou dráhu meteoru.

static map
height profile
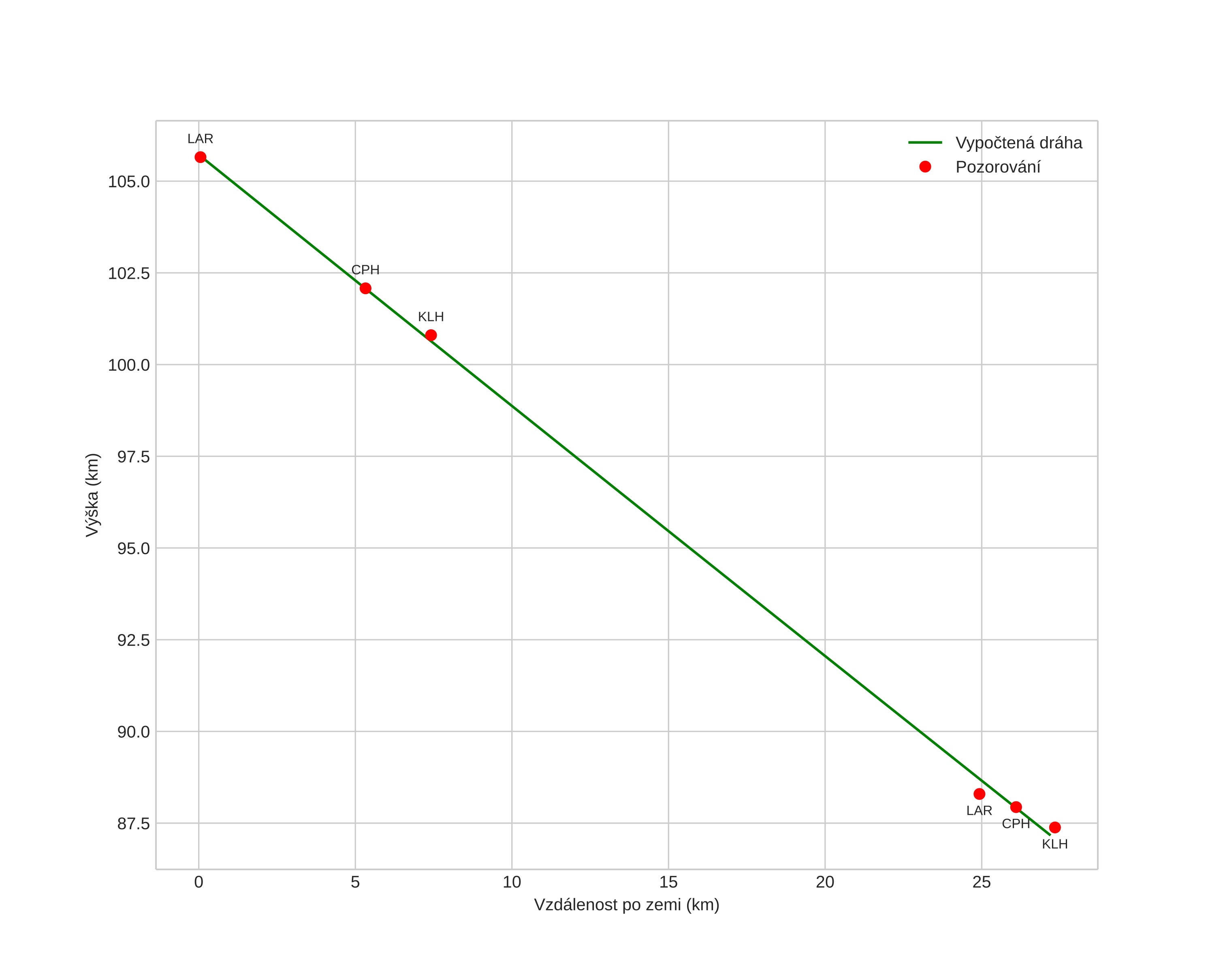
Atmosférická dráha meteoru:
Počáteční výška: 105,8 km
Konečná výška: 87,1 km
Počáteční poloha: 56,729N 11,970E
Konečná poloha: 56,591N 11,606E
Směr: 235,6°
Sklon: 34,7°
VstupnĂ­ rychlost: 47,6 km/s
Rektascenze radiantu: 22:06 (331,6°)
Deklinace radiantu: 46,4°
MeteorickĂ˝ roj: sporadickĂ˝
Elementy dráhy meteoroidu:
Vzdálenost v periheliu: 0,794 AU
Excentricita: 1,077
Sklon dráhy: 75,2°
Délka vzestupného uzlu: 43,9°
Argument perihelia: 126,2°
Střední anomálie: 0,9°
Epocha: 2023 MAY 05 00:00:30
orbit plot

NeinteraktivnĂ­ graf | InteraktivnĂ­ graf

position vs time
speed and acceleration