🇳🇴 🇬🇧 🇩🇪 🇨🇿 🇫🇮

Meteor Rørvigin yllä 2023-05-05 00:00:30 UTC

KML-tiedosto  |  Interaktiivinen kartta

Kartta näyttää meteorin suuntahavainnot. Vaaleammat viivat näyttävät suunnat havaintoasemilta meteorin ilmestyessä, ja tummemmat viivat näyttävät, missä se viimeksi nähtiin. Sininen nuoli näyttää meteorin näkyvän lennon.

static map
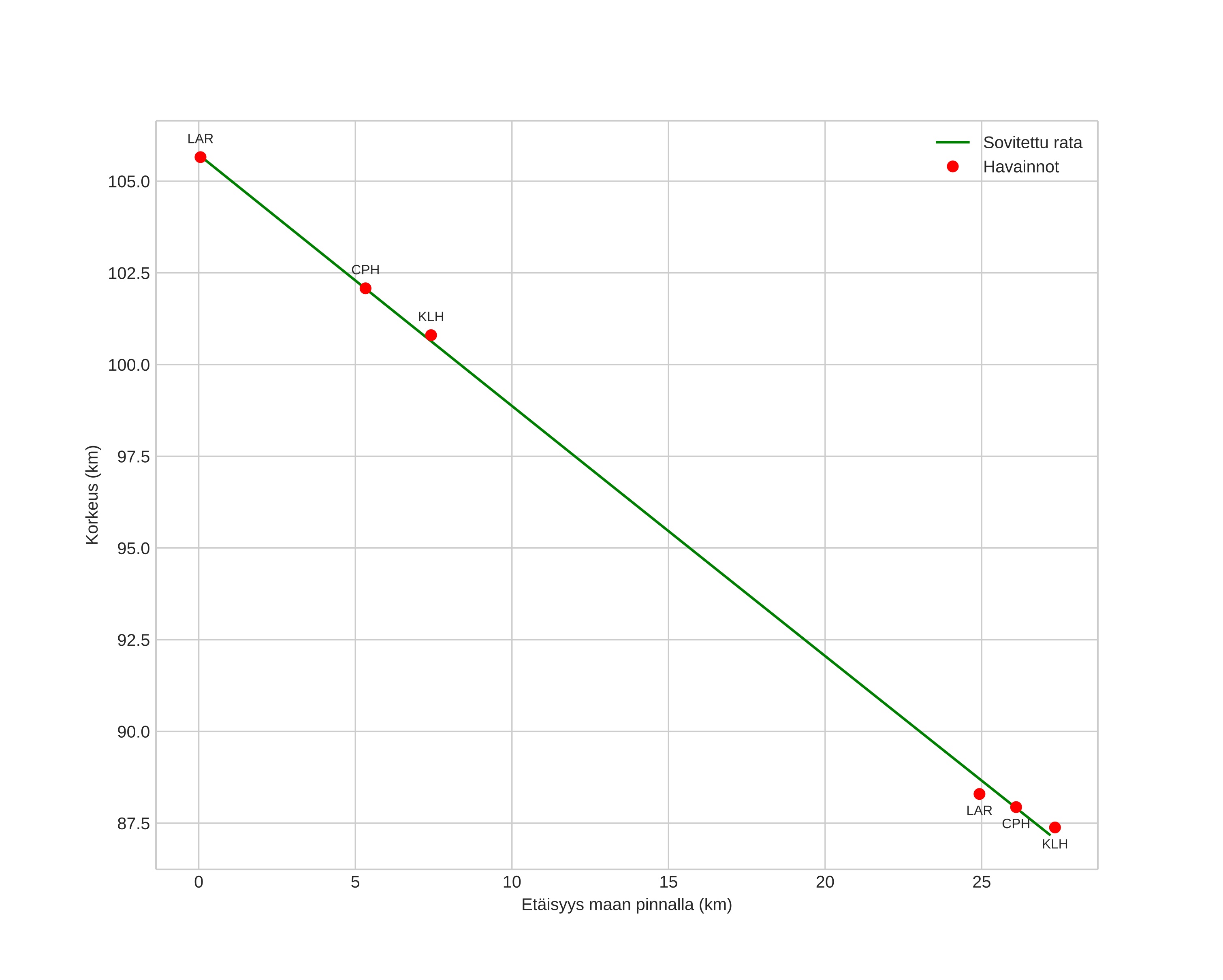
height profile
Meteorin ilmakehärata:
Alkukorkeus: 105,8 km
Loppukorkeus: 87,1 km
Alkupiste: 56,729N 11,970E
Loppupiste: 56,591N 11,606E
Suunta: 235,6°
Kallistuskulma: 34,7°
Tulonopeus: 47,6 km/s
Radiantin R,A,: 22:06 (331,6°)
Radiantin Dekl,: 46,4°
Meteoriparvi: Sporadinen
Meteoroidin rataelementit:
Perihelietäisyys: 0,794 AU
Eksentrisyys: 1,077
Inklinaatio: 75,2°
Nousevan solmun pituus: 43,9°
Perihelin argumentti: 126,2°
Keskianomalia: 0,9°
Epookki: 2023 MAY 05 00:00:30
orbit plot

Ei-interaktiivinen kuvaaja | Interaktiivinen kuvaaja

position vs time
speed and acceleration