🇳🇴 🇬🇧 🇩🇪 🇨🇿 🇫🇮

Meteor, poloha: Evje 2023-05-06 00:18:21 UTC

Soubor KML  |  InteraktivnĂ­ mapa

Mapa zobrazuje dráhy meteoru. Světlejší čáry ukazují směry od pozorovacích stanic při objevení se meteoru a tmavší čáry, kde byl naposledy viděn. Modrá šipka značí viditelnou dráhu meteoru.

static map
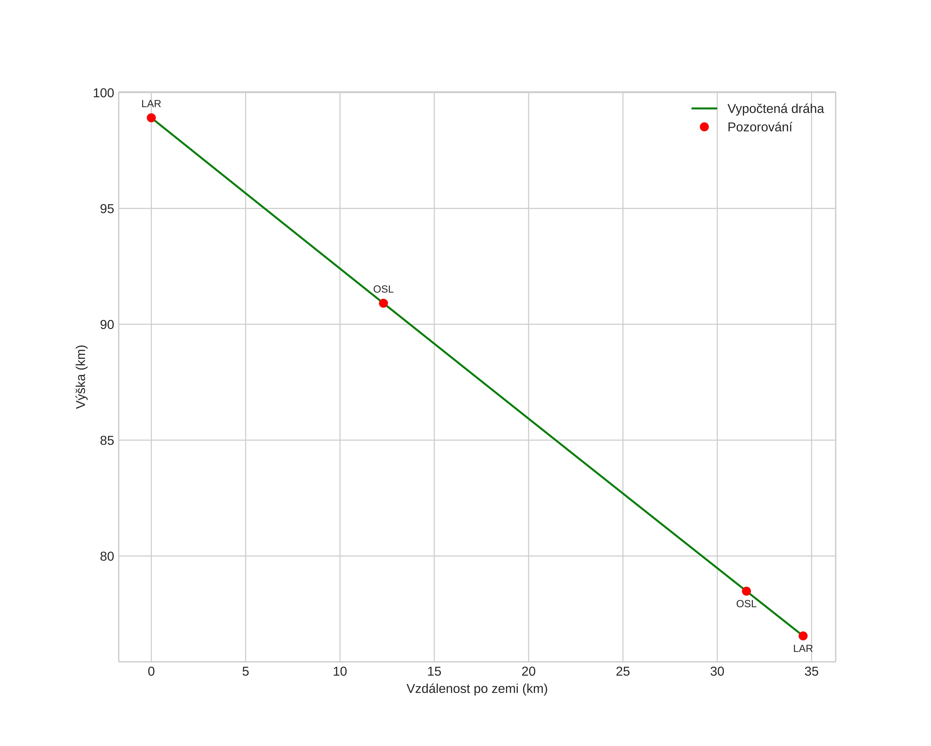
height profile
Atmosférická dráha meteoru:
Počáteční výška: 98,7 km
Konečná výška: 77,0 km
Počáteční poloha: 58,274N 7,865E
Konečná poloha: 58,577N 7,907E
Směr: 4,1°
Sklon: 32,7°
VstupnĂ­ rychlost: 27,5 km/s
Rektascenze radiantu: 15:26 (231,6°)
Deklinace radiantu: -1,7°
MeteorickĂ˝ roj: sporadickĂ˝
Elementy dráhy meteoroidu:
Vzdálenost v periheliu: 0,525 AU
Excentricita: 0,769
Sklon dráhy: 14,6°
Délka vzestupného uzlu: 44,9°
Argument perihelia: 275,9°
Střední anomálie: 346,8°
Epocha: 2023 MAY 06 00:18:21
orbit plot

NeinteraktivnĂ­ graf | InteraktivnĂ­ graf

position vs time
speed and acceleration