🇳🇴 🇬🇧 🇩🇪 🇨🇿 🇫🇮

Meteor Evjen yllä 2023-05-06 00:18:21 UTC

KML-tiedosto  |  Interaktiivinen kartta

Kartta näyttää meteorin suuntahavainnot. Vaaleammat viivat näyttävät suunnat havaintoasemilta meteorin ilmestyessä, ja tummemmat viivat näyttävät, missä se viimeksi nähtiin. Sininen nuoli näyttää meteorin näkyvän lennon.

static map
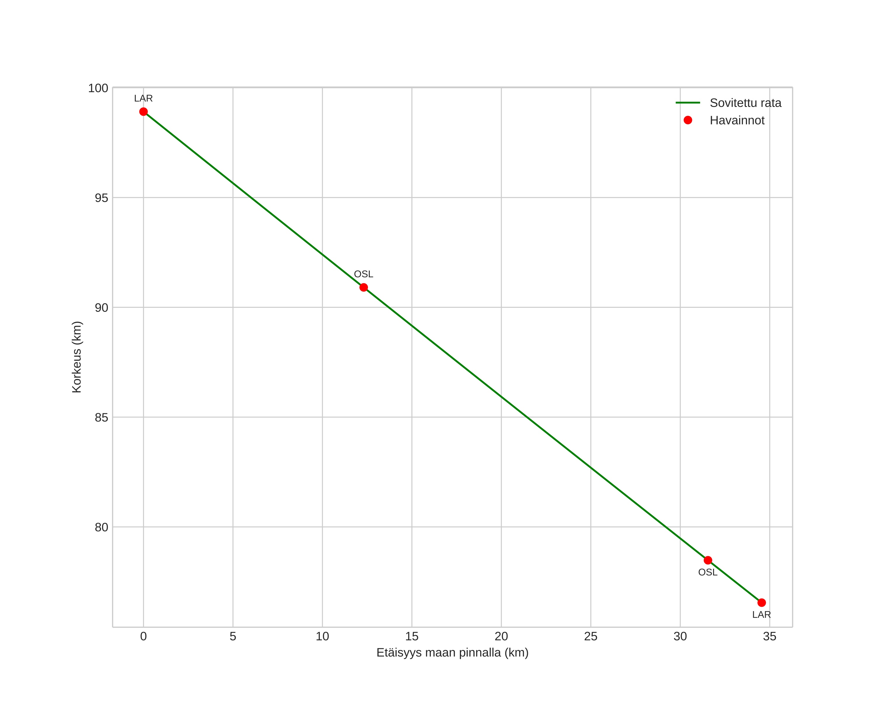
height profile
Meteorin ilmakehärata:
Alkukorkeus: 98,7 km
Loppukorkeus: 77,0 km
Alkupiste: 58,274N 7,865E
Loppupiste: 58,577N 7,907E
Suunta: 4,1°
Kallistuskulma: 32,7°
Tulonopeus: 27,5 km/s
Radiantin R,A,: 15:26 (231,6°)
Radiantin Dekl,: -1,7°
Meteoriparvi: Sporadinen
Meteoroidin rataelementit:
Perihelietäisyys: 0,525 AU
Eksentrisyys: 0,769
Inklinaatio: 14,6°
Nousevan solmun pituus: 44,9°
Perihelin argumentti: 275,9°
Keskianomalia: 346,8°
Epookki: 2023 MAY 06 00:18:21
orbit plot

Ei-interaktiivinen kuvaaja | Interaktiivinen kuvaaja

position vs time
speed and acceleration