🇳🇴 🇬🇧 🇩🇪 🇨🇿 🇫🇮

Meteor, poloha: Skjærhalden 2023-05-07 23:34:05 UTC

Soubor KML  |  InteraktivnĂ­ mapa

Mapa zobrazuje dráhy meteoru. Světlejší čáry ukazují směry od pozorovacích stanic při objevení se meteoru a tmavší čáry, kde byl naposledy viděn. Modrá šipka značí viditelnou dráhu meteoru.

static map
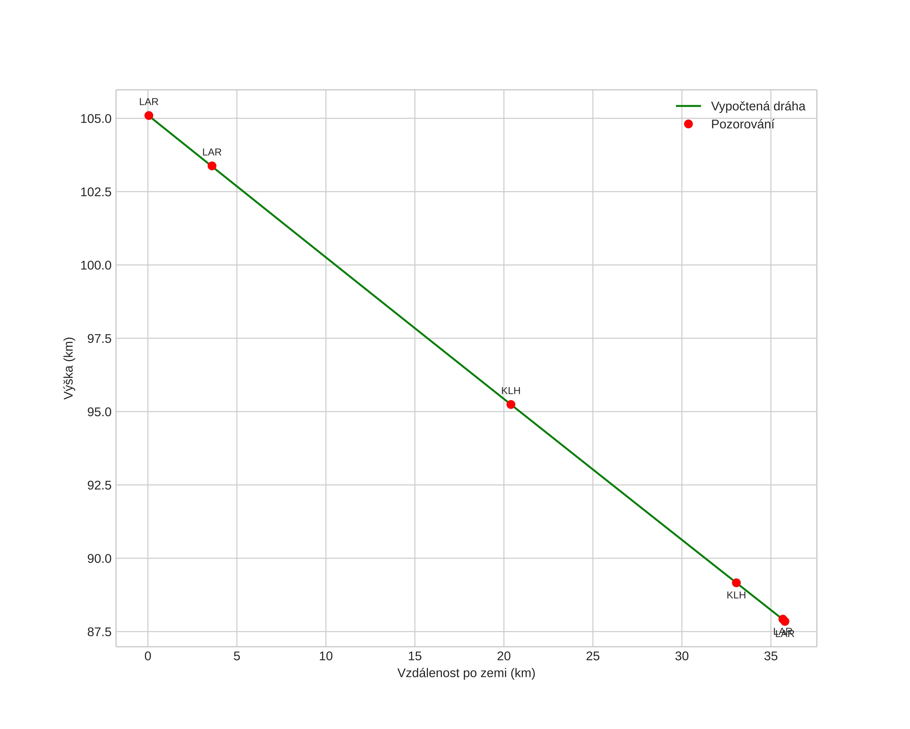
height profile
Atmosférická dráha meteoru:
Počáteční výška: 105,1 km
Konečná výška: 87,9 km
Počáteční poloha: 58,565N 11,243E
Konečná poloha: 58,732N 10,713E
Směr: 301,4°
Sklon: 25,6°
VstupnĂ­ rychlost: 62,4 km/s
Rektascenze radiantu: 18:43 (280,9°)
Deklinace radiantu: 6,6°
MeteorickĂ˝ roj: sporadickĂ˝
Elementy dráhy meteoroidu:
Vzdálenost v periheliu: 0,594 AU
Excentricita: 1,160
Sklon dráhy: 115,5°
Délka vzestupného uzlu: 46,8°
Argument perihelia: 256,5°
Střední anomálie: -4,9°
Epocha: 2023 MAY 07 23:34:05
orbit plot

NeinteraktivnĂ­ graf | InteraktivnĂ­ graf

position vs time
speed and acceleration