🇳🇴 🇬🇧 🇩🇪 🇨🇿 🇫🇮

Meteor Skjærhaldenin yllä 2023-05-07 23:34:05 UTC

KML-tiedosto  |  Interaktiivinen kartta

Kartta näyttää meteorin suuntahavainnot. Vaaleammat viivat näyttävät suunnat havaintoasemilta meteorin ilmestyessä, ja tummemmat viivat näyttävät, missä se viimeksi nähtiin. Sininen nuoli näyttää meteorin näkyvän lennon.

static map
height profile
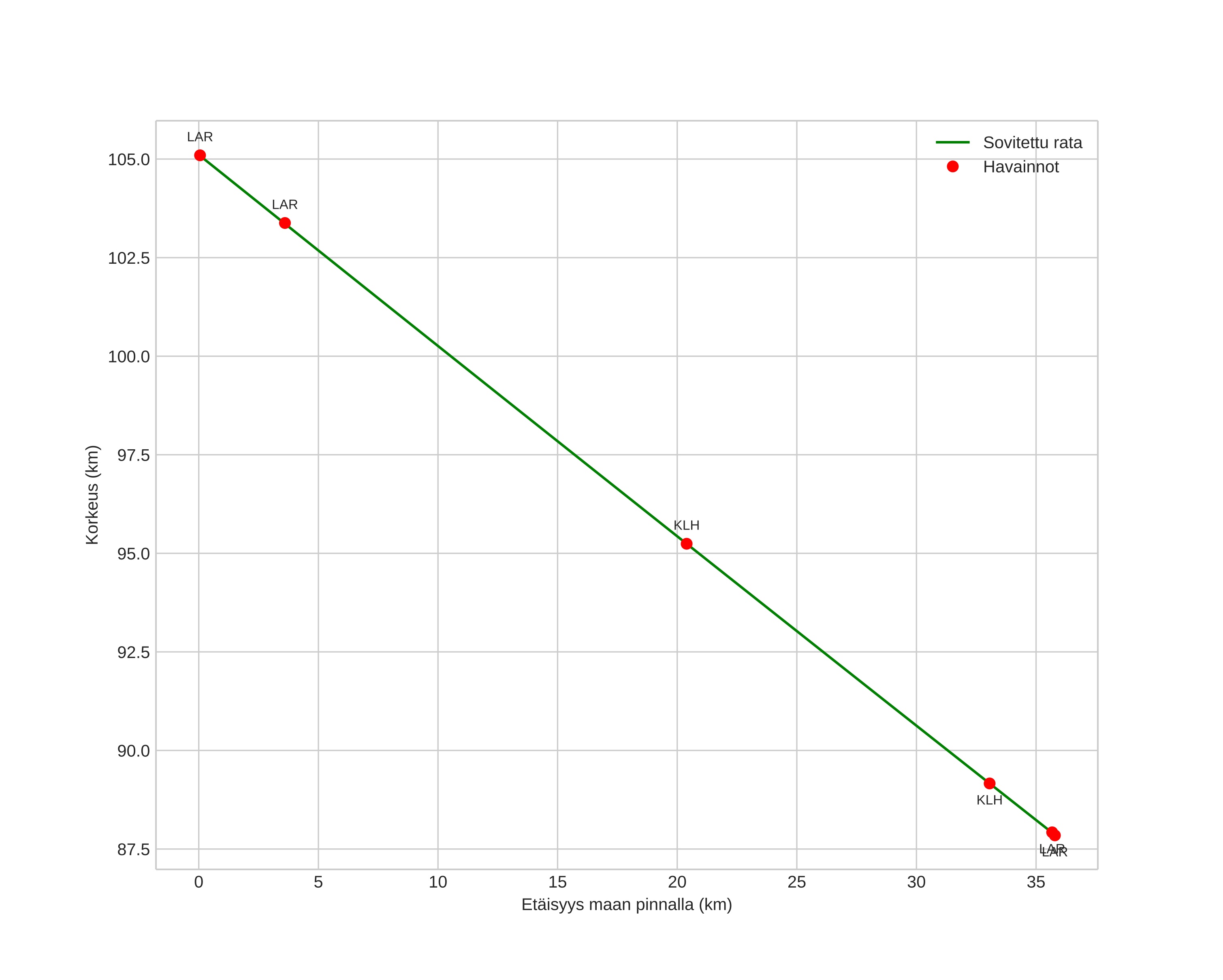
Meteorin ilmakehärata:
Alkukorkeus: 105,1 km
Loppukorkeus: 87,9 km
Alkupiste: 58,565N 11,243E
Loppupiste: 58,732N 10,713E
Suunta: 301,4°
Kallistuskulma: 25,6°
Tulonopeus: 62,4 km/s
Radiantin R,A,: 18:43 (280,9°)
Radiantin Dekl,: 6,6°
Meteoriparvi: Sporadinen
Meteoroidin rataelementit:
Perihelietäisyys: 0,594 AU
Eksentrisyys: 1,160
Inklinaatio: 115,5°
Nousevan solmun pituus: 46,8°
Perihelin argumentti: 256,5°
Keskianomalia: -4,9°
Epookki: 2023 MAY 07 23:34:05
orbit plot

Ei-interaktiivinen kuvaaja | Interaktiivinen kuvaaja

position vs time
speed and acceleration