🇳🇴 🇬🇧 🇩🇪 🇨🇿 🇫🇮

Meteor, poloha: Västra Hagen 2023-05-12 01:36:33 UTC

Soubor KML  |  Interaktivní mapa

Mapa zobrazuje dráhy meteoru. Světlejší čáry ukazují směry od pozorovacích stanic při objevení se meteoru a tmavší čáry, kde byl naposledy viděn. Modrá šipka značí viditelnou dráhu meteoru.

static map
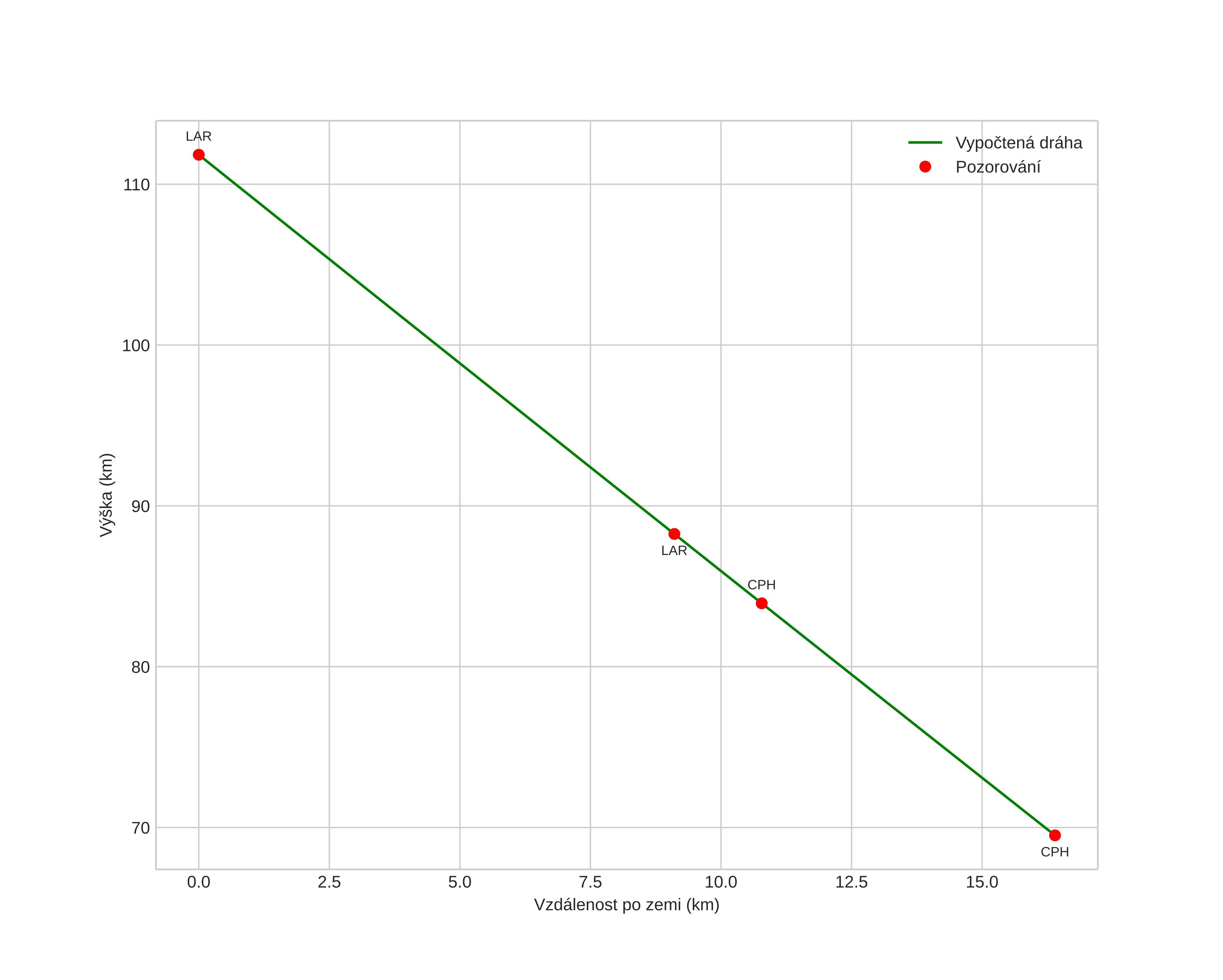
height profile
Atmosférická dráha meteoru:
Počáteční výška: 111,8 km
Konečná výška: 69,5 km
Počáteční poloha: 57,155N 11,932E
Konečná poloha: 57,207N 11,677E
Směr: 290,6°
Sklon: 68,8°
Vstupní rychlost: 60,6 km/s
Rektascenze radiantu: 19:36 (294,1°)
Deklinace radiantu: 45,4°
Meteorický roj: sporadický
Elementy dráhy meteoroidu:
Vzdálenost v periheliu: 1,008 AU
Excentricita: 2,359
Sklon dráhy: 85,0°
Délka vzestupného uzlu: 50,8°
Argument perihelia: 184,3°
Střední anomálie: -3,7°
Epocha: 2023 MAY 12 01:36:33
orbit plot

Neinteraktivní graf | Interaktivní graf

position vs time
speed and acceleration