🇳🇴 🇬🇧 🇩🇪 🇨🇿 🇫🇮

Meteor Västra Hagenin yllä 2023-05-12 01:36:33 UTC

KML-tiedosto  |  Interaktiivinen kartta

Kartta näyttää meteorin suuntahavainnot. Vaaleammat viivat näyttävät suunnat havaintoasemilta meteorin ilmestyessä, ja tummemmat viivat näyttävät, missä se viimeksi nähtiin. Sininen nuoli näyttää meteorin näkyvän lennon.

static map
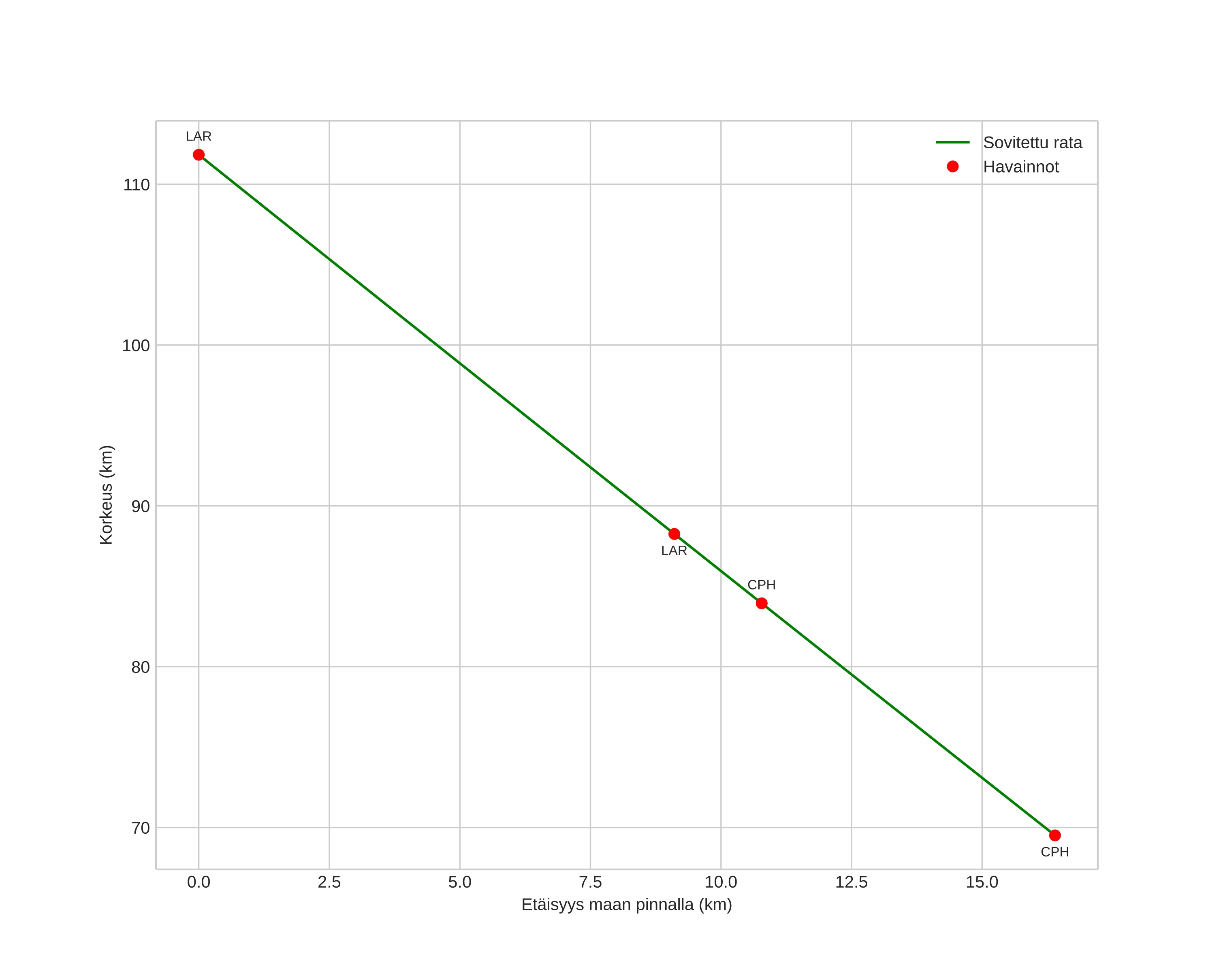
height profile
Meteorin ilmakehärata:
Alkukorkeus: 111,8 km
Loppukorkeus: 69,5 km
Alkupiste: 57,155N 11,932E
Loppupiste: 57,207N 11,677E
Suunta: 290,6°
Kallistuskulma: 68,8°
Tulonopeus: 60,6 km/s
Radiantin R,A,: 19:36 (294,1°)
Radiantin Dekl,: 45,4°
Meteoriparvi: Sporadinen
Meteoroidin rataelementit:
Perihelietäisyys: 1,008 AU
Eksentrisyys: 2,359
Inklinaatio: 85,0°
Nousevan solmun pituus: 50,8°
Perihelin argumentti: 184,3°
Keskianomalia: -3,7°
Epookki: 2023 MAY 12 01:36:33
orbit plot

Ei-interaktiivinen kuvaaja | Interaktiivinen kuvaaja

position vs time
speed and acceleration

Larvik (LAR) cam3


gnomonic
Videot:
• Gnomoninen
• Gnomoninen koordinaateilla
• Alkuperäinen
• Alkuperäinen koordinaateilla
Kuvat:
• Gnomoninen
• Gnomoninen koordinaateilla
• Gnomoninen merkinnöillä
• Alkuperäinen
• Alkuperäinen koordinaateilla
• Alkuperäinen maskilla
Tekstitiedostot:
• Havaintoraportti
• Observaatio
• Koordinaatit
• Virheilmoitukset
• Loki
Kirkkaus