🇳🇴 🇬🇧 🇩🇪 🇨🇿 🇫🇮

Meteor, poloha: Berger 2023-07-25 00:57:38 UTC

Soubor KML  |  InteraktivnĂ­ mapa

Mapa zobrazuje dráhy meteoru. Světlejší čáry ukazují směry od pozorovacích stanic při objevení se meteoru a tmavší čáry, kde byl naposledy viděn. Modrá šipka značí viditelnou dráhu meteoru.

static map
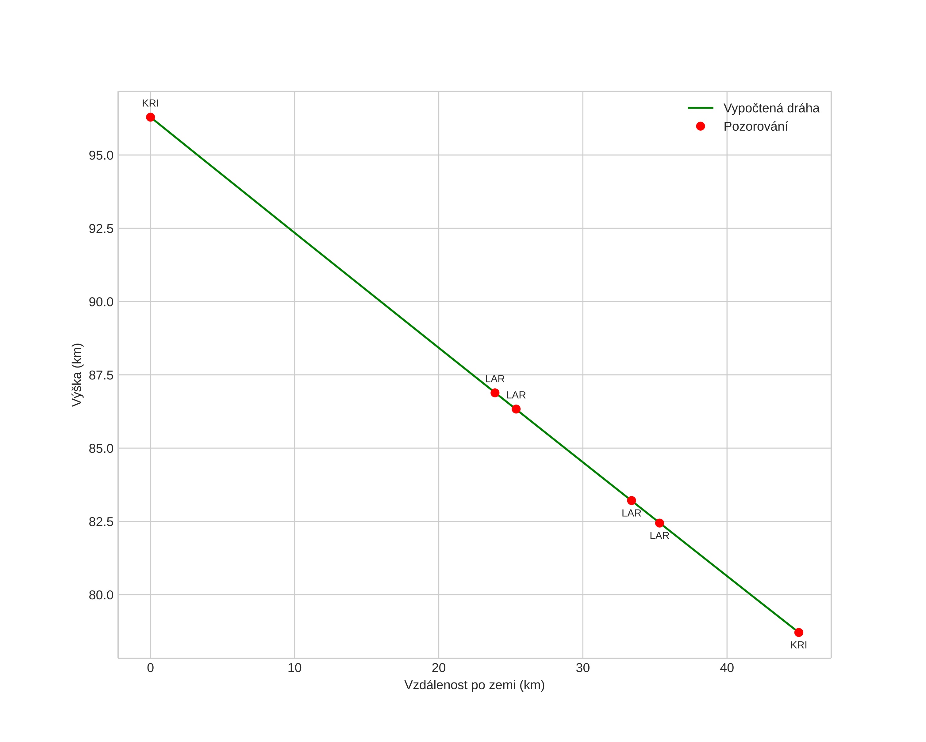
height profile
Atmosférická dráha meteoru:
Počáteční výška: 96,5 km
Konečná výška: 79,1 km
Počáteční poloha: 59,185N 10,042E
Konečná poloha: 59,557N 10,342E
Směr: 22,2°
Sklon: 21,3°
VstupnĂ­ rychlost: 29,9 km/s
Rektascenze radiantu: 20:18 (304,7°)
Deklinace radiantu: -10,4°
MeteorickĂ˝ roj: sporadickĂ˝
Elementy dráhy meteoroidu:
Vzdálenost v periheliu: 0,487 AU
Excentricita: 0,899
Sklon dráhy: 8,9°
Délka vzestupného uzlu: 121,6°
Argument perihelia: 275,7°
Střední anomálie: 356,1°
Epocha: 2023 JUL 25 00:57:38
orbit plot

NeinteraktivnĂ­ graf | InteraktivnĂ­ graf

position vs time
speed and acceleration

Larvik (LAR) cam1

gnomonic
Videa
Obrázky
• Původní
Textové soubory
• Detekce
• Pozorování
• Souřadnice
• Chybová hlášení
• Protokol
Jasnost