🇳🇴 🇬🇧 🇩🇪 🇨🇿 🇫🇮

Meteor Bergerin yllä 2023-07-25 00:57:38 UTC

KML-tiedosto  |  Interaktiivinen kartta

Kartta näyttää meteorin suuntahavainnot. Vaaleammat viivat näyttävät suunnat havaintoasemilta meteorin ilmestyessä, ja tummemmat viivat näyttävät, missä se viimeksi nähtiin. Sininen nuoli näyttää meteorin näkyvän lennon.

static map
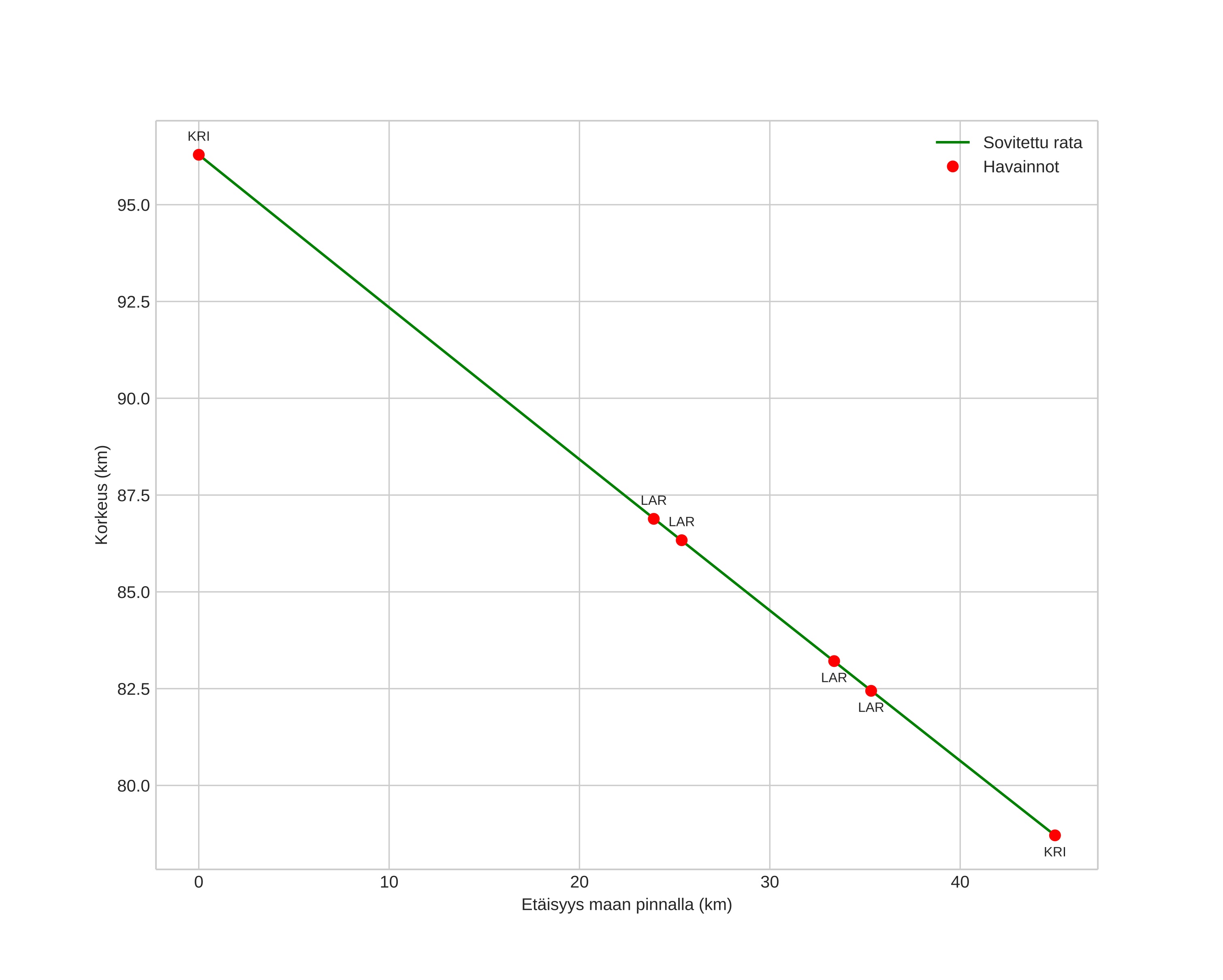
height profile
Meteorin ilmakehärata:
Alkukorkeus: 96,5 km
Loppukorkeus: 79,1 km
Alkupiste: 59,185N 10,042E
Loppupiste: 59,557N 10,342E
Suunta: 22,2°
Kallistuskulma: 21,3°
Tulonopeus: 29,9 km/s
Radiantin R,A,: 20:18 (304,7°)
Radiantin Dekl,: -10,4°
Meteoriparvi: Sporadinen
Meteoroidin rataelementit:
Perihelietäisyys: 0,487 AU
Eksentrisyys: 0,899
Inklinaatio: 8,9°
Nousevan solmun pituus: 121,6°
Perihelin argumentti: 275,7°
Keskianomalia: 356,1°
Epookki: 2023 JUL 25 00:57:38
orbit plot

Ei-interaktiivinen kuvaaja | Interaktiivinen kuvaaja

position vs time
speed and acceleration

Larvik (LAR) cam1

gnomonic
Videot:
Kuvat:
• Alkuperäinen
Tekstitiedostot:
• Havaintoraportti
• Observaatio
• Koordinaatit
• Virheilmoitukset
• Loki
Kirkkaus

Larvik (LAR) cam2


gnomonic
Videot:
• Gnomoninen
• Gnomoninen koordinaateilla
• Alkuperäinen
• Alkuperäinen koordinaateilla
Kuvat:
• Gnomoninen
• Gnomoninen koordinaateilla
• Gnomoninen merkinnöillä
• Alkuperäinen
• Alkuperäinen koordinaateilla
• Alkuperäinen maskilla
Tekstitiedostot:
• Havaintoraportti
• Observaatio
• Koordinaatit
• Virheilmoitukset
• Loki
Kirkkaus