🇳🇴 🇬🇧 🇩🇪 🇨🇿

Meteor, poloha: Uddevalla 2023-08-01 00:07:14 UTC

Mapa zobrazuje dráhy meteoru. Světlejší čáry ukazují směry od pozorovacích stanic při objevení se meteoru a tmavší čáry, kde byl naposledy viděn. Modrá šipka značí viditelnou dráhu meteoru.

map

NeinteraktivnĂ­ mapa | Soubor KML

height profile
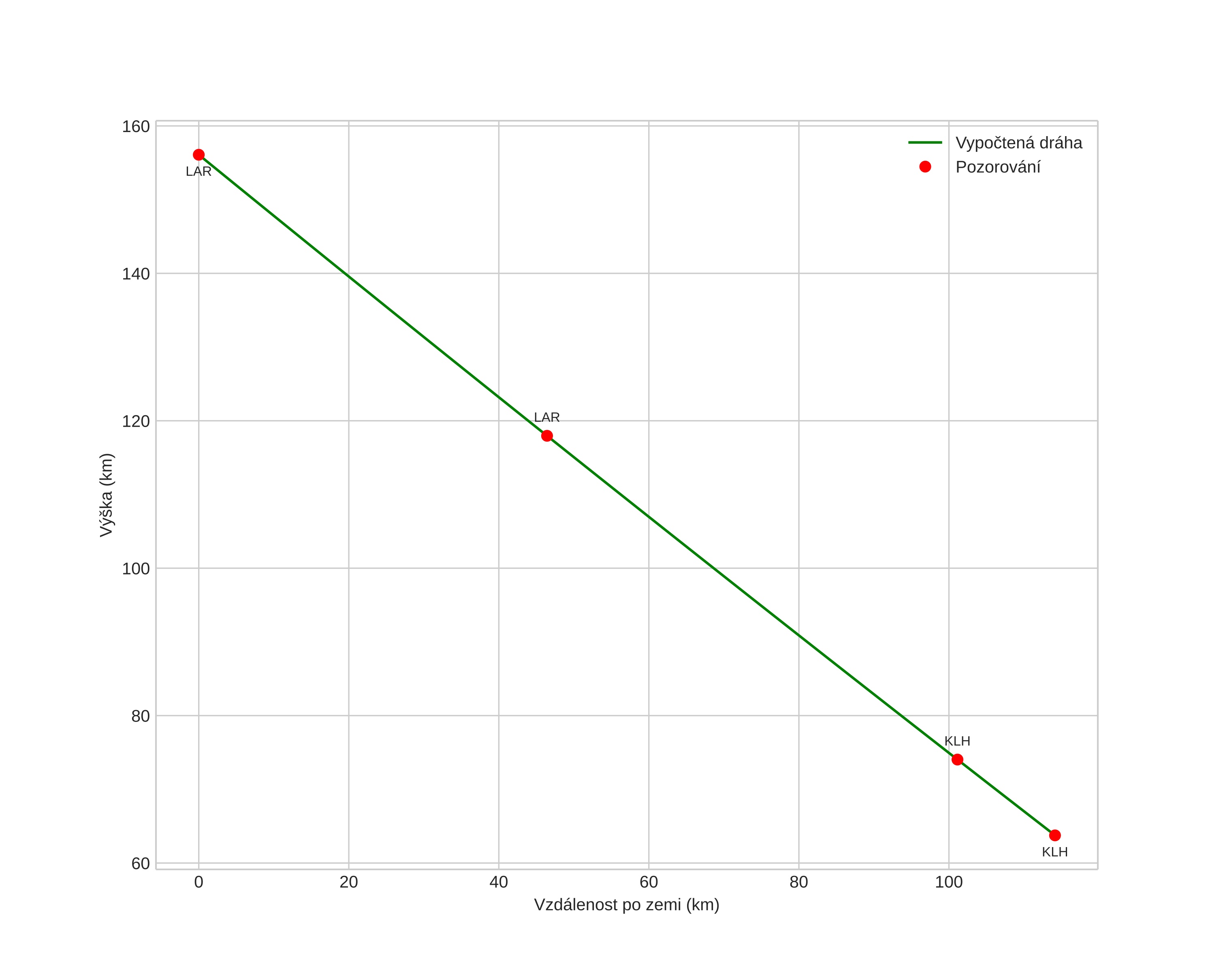
Atmosférická dráha meteoru:
Počáteční výška: 90,5 km
Konečná výška: 89,3 km
Počáteční poloha: 58,120N 12,022E
Konečná poloha: 58,293N 12,003E
Směr: 356,6°
Sklon: 3,6°
VstupnĂ­ rychlost: 27,4 km/s
Rektascenze radiantu: 21:44 (326,2°)
Deklinace radiantu: -33,2°
MeteorickĂ˝ roj: sporadickĂ˝
Elementy dráhy meteoroidu:
Vzdálenost v periheliu: 0,479 AU
Excentricita: 0,749
Sklon dráhy: 17,2°
Délka vzestupného uzlu: 308,2°
Argument perihelia: 103,6°
Střední anomálie: 342,1°
Epocha: 2023 AUG 01 00:07:14
orbit plot

NeinteraktivnĂ­ graf

position vs time
speed and acceleration