🇳🇴 🇬🇧 🇩🇪 🇨🇿 🇫🇮

Meteor Skärhamnin yllä 2023-08-01 00:07:14 UTC

KML-tiedosto  |  Interaktiivinen kartta

Kartta näyttää meteorin suuntahavainnot. Vaaleammat viivat näyttävät suunnat havaintoasemilta meteorin ilmestyessä, ja tummemmat viivat näyttävät, missä se viimeksi nähtiin. Sininen nuoli näyttää meteorin näkyvän lennon.

static map
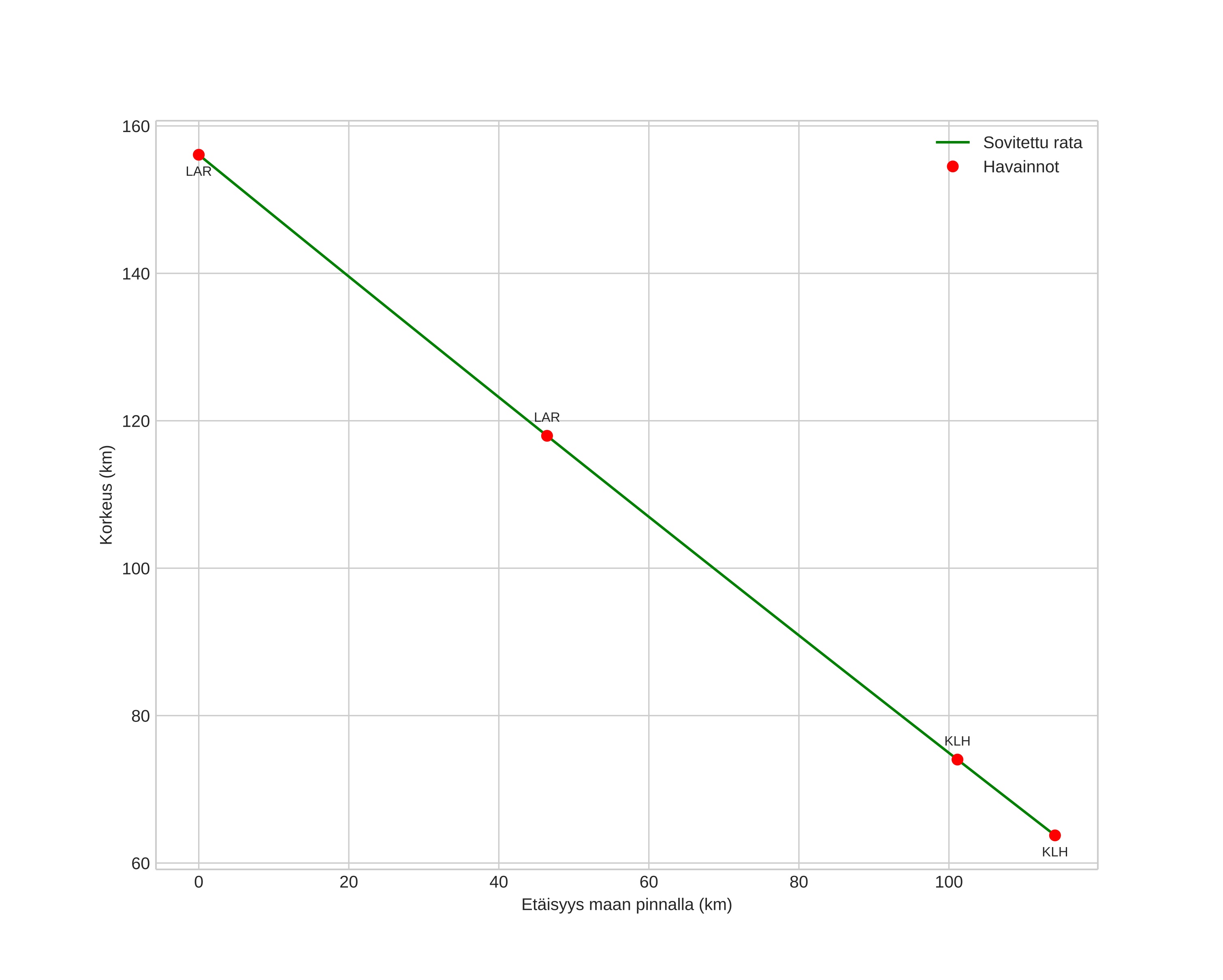
height profile
Meteorin ilmakehärata:
Alkukorkeus: 156,1 km
Loppukorkeus: 63,8 km
Alkupiste: 57,704N 13,316E
Loppupiste: 57,989N 11,463E
Suunta: 286,9°
Kallistuskulma: 39,0°
orbit plot

Ei-interaktiivinen kuvaaja | Interaktiivinen kuvaaja

position vs time
speed and acceleration