🇳🇴 🇬🇧 🇩🇪 🇨🇿 🇫🇮

Meteor, poloha: Kragerø 2023-08-01 00:38:50 UTC

Soubor KML  |  InteraktivnĂ­ mapa

Mapa zobrazuje dráhy meteoru. Světlejší čáry ukazují směry od pozorovacích stanic při objevení se meteoru a tmavší čáry, kde byl naposledy viděn. Modrá šipka značí viditelnou dráhu meteoru.

static map
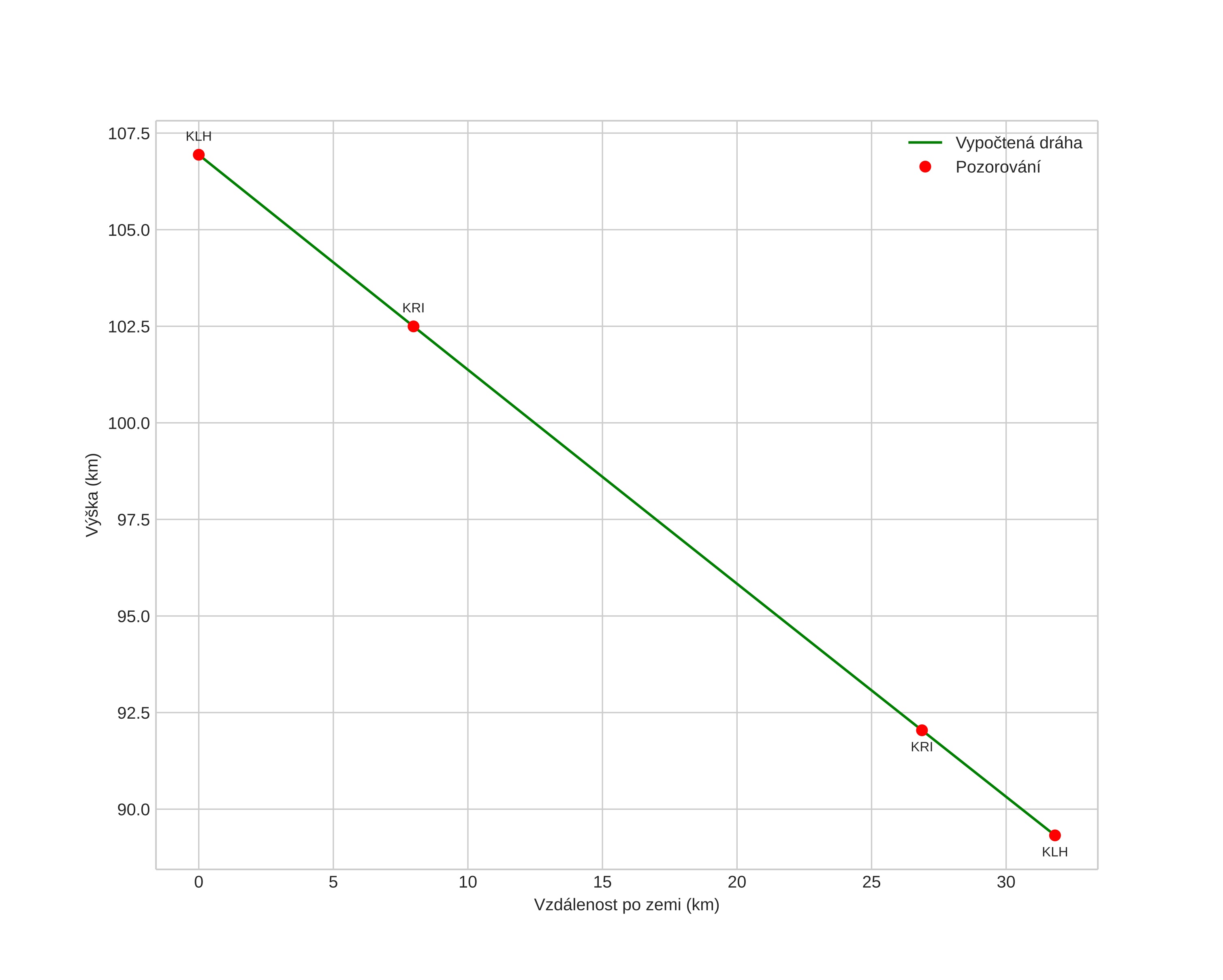
height profile
Atmosférická dráha meteoru:
Počáteční výška: 106,5 km
Konečná výška: 89,0 km
Počáteční poloha: 58,375N 10,278E
Konečná poloha: 58,466N 9,760E
Směr: 288,7°
Sklon: 28,9°
VstupnĂ­ rychlost: 66,8 km/s
Rektascenze radiantu: 01:53 (28,4°)
Deklinace radiantu: 14,8°
MeteorickĂ˝ roj: sporadickĂ˝
Elementy dráhy meteoroidu:
Vzdálenost v periheliu: 0,953 AU
Excentricita: 0,577
Sklon dráhy: 174,6°
Délka vzestupného uzlu: 128,2°
Argument perihelia: 213,6°
Střední anomálie: 352,3°
Epocha: 2023 AUG 01 00:38:50
orbit plot

NeinteraktivnĂ­ graf | InteraktivnĂ­ graf

position vs time
speed and acceleration