🇳🇴 🇬🇧 🇩🇪 🇨🇿 🇫🇮

Meteor Kragerøin yllä 2023-08-01 00:38:50 UTC

KML-tiedosto  |  Interaktiivinen kartta

Kartta näyttää meteorin suuntahavainnot. Vaaleammat viivat näyttävät suunnat havaintoasemilta meteorin ilmestyessä, ja tummemmat viivat näyttävät, missä se viimeksi nähtiin. Sininen nuoli näyttää meteorin näkyvän lennon.

static map
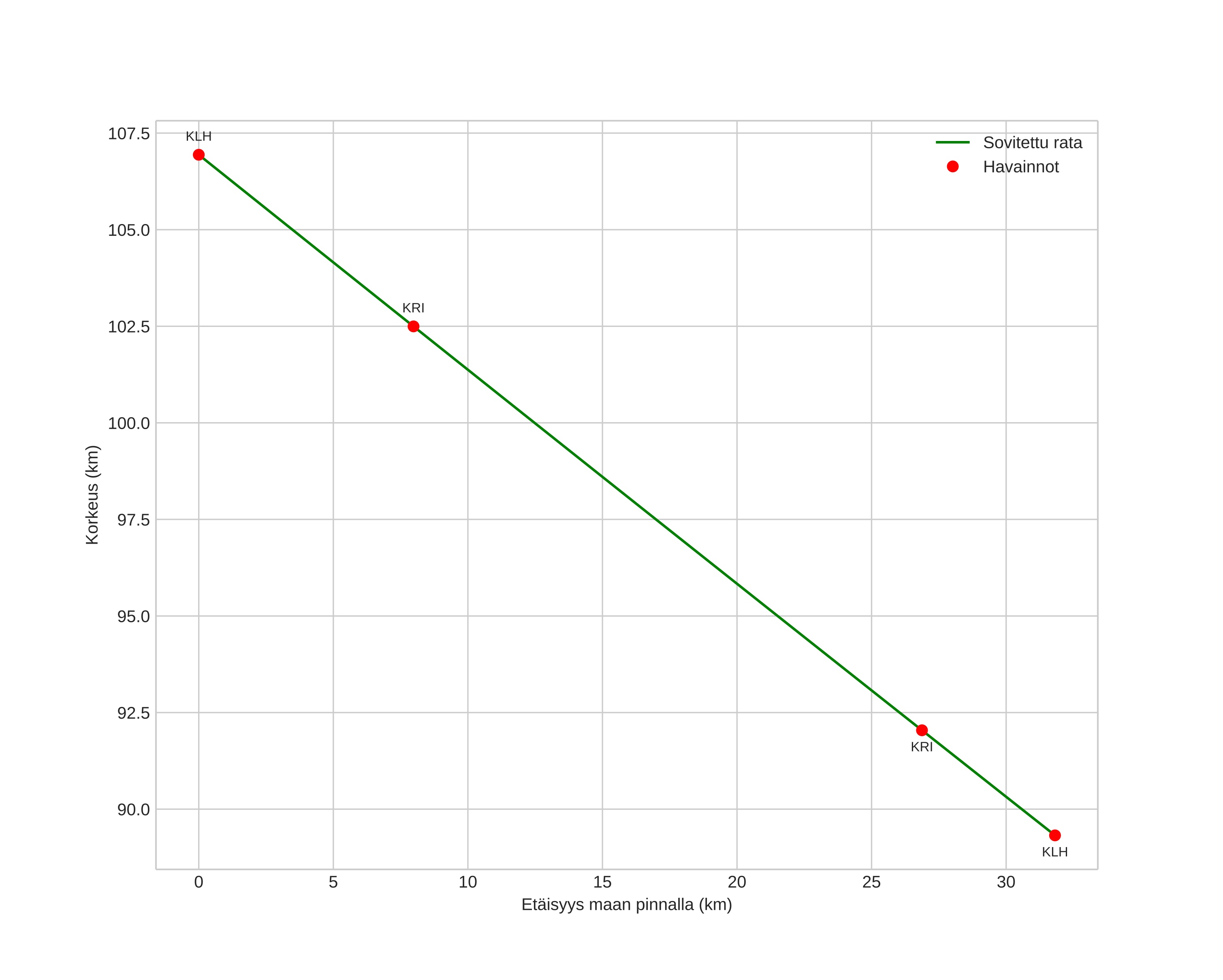
height profile
Meteorin ilmakehärata:
Alkukorkeus: 106,5 km
Loppukorkeus: 89,0 km
Alkupiste: 58,375N 10,278E
Loppupiste: 58,466N 9,760E
Suunta: 288,7°
Kallistuskulma: 28,9°
Tulonopeus: 66,8 km/s
Radiantin R,A,: 01:53 (28,4°)
Radiantin Dekl,: 14,8°
Meteoriparvi: Sporadinen
Meteoroidin rataelementit:
Perihelietäisyys: 0,953 AU
Eksentrisyys: 0,577
Inklinaatio: 174,6°
Nousevan solmun pituus: 128,2°
Perihelin argumentti: 213,6°
Keskianomalia: 352,3°
Epookki: 2023 AUG 01 00:38:50
orbit plot

Ei-interaktiivinen kuvaaja | Interaktiivinen kuvaaja

position vs time
speed and acceleration