🇳🇴 🇬🇧 🇩🇪 🇨🇿 🇫🇮

Meteor, poloha: Borkum 2023-08-10 23:22:00 UTC

Soubor KML  |  InteraktivnĂ­ mapa

Mapa zobrazuje dráhy meteoru. Světlejší čáry ukazují směry od pozorovacích stanic při objevení se meteoru a tmavší čáry, kde byl naposledy viděn. Modrá šipka značí viditelnou dráhu meteoru.

static map
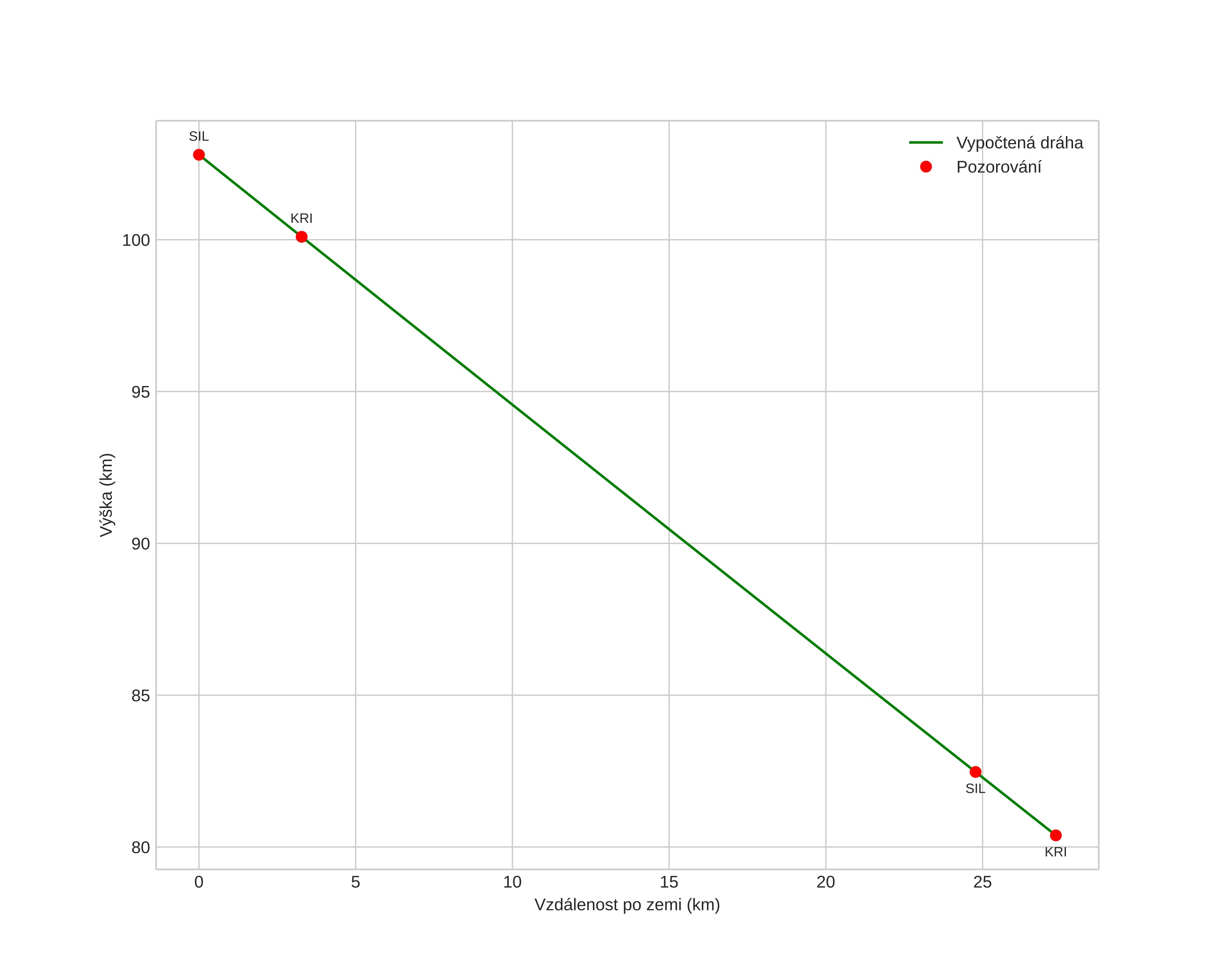
height profile
Atmosférická dráha meteoru:
Počáteční výška: 102,8 km
Konečná výška: 80,4 km
Počáteční poloha: 55,725N 6,398E
Konečná poloha: 55,548N 6,096E
Směr: 224,0°
Sklon: 39,3°
VstupnĂ­ rychlost: 59,5 km/s
Rektascenze radiantu: 03:47 (56,9°)
Deklinace radiantu: 56,6°
MeteorickĂ˝ roj: Perseidy
Elementy dráhy meteoroidu:
Vzdálenost v periheliu: 0,840 AU
Excentricita: 0,905
Sklon dráhy: 113,8°
Délka vzestupného uzlu: 137,8°
Argument perihelia: 129,7°
Střední anomálie: 1,2°
Epocha: 2023 AUG 10 23:22:00
orbit plot

NeinteraktivnĂ­ graf | InteraktivnĂ­ graf

position vs time
speed and acceleration