🇳🇴 🇬🇧 🇩🇪 🇨🇿 🇫🇮

Meteor Borkumin yllä 2023-08-10 23:22:00 UTC

KML-tiedosto  |  Interaktiivinen kartta

Kartta näyttää meteorin suuntahavainnot. Vaaleammat viivat näyttävät suunnat havaintoasemilta meteorin ilmestyessä, ja tummemmat viivat näyttävät, missä se viimeksi nähtiin. Sininen nuoli näyttää meteorin näkyvän lennon.

static map
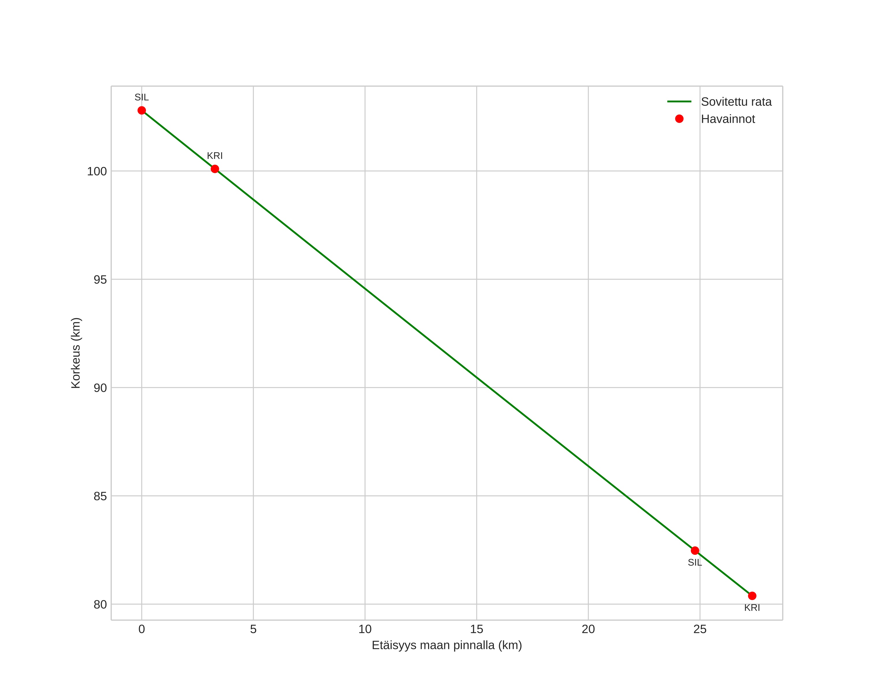
height profile
Meteorin ilmakehärata:
Alkukorkeus: 102,8 km
Loppukorkeus: 80,4 km
Alkupiste: 55,725N 6,398E
Loppupiste: 55,548N 6,096E
Suunta: 224,0°
Kallistuskulma: 39,3°
Tulonopeus: 59,5 km/s
Radiantin R,A,: 03:47 (56,9°)
Radiantin Dekl,: 56,6°
Meteoriparvi: Perseidit
Meteoroidin rataelementit:
Perihelietäisyys: 0,840 AU
Eksentrisyys: 0,905
Inklinaatio: 113,8°
Nousevan solmun pituus: 137,8°
Perihelin argumentti: 129,7°
Keskianomalia: 1,2°
Epookki: 2023 AUG 10 23:22:00
orbit plot

Ei-interaktiivinen kuvaaja | Interaktiivinen kuvaaja

position vs time
speed and acceleration