🇳🇴 🇬🇧 🇩🇪 🇨🇿 🇫🇮

Meteor, poloha: Hirtshals 2023-08-11 00:37:17 UTC

Soubor KML  |  InteraktivnĂ­ mapa

Mapa zobrazuje dráhy meteoru. Světlejší čáry ukazují směry od pozorovacích stanic při objevení se meteoru a tmavší čáry, kde byl naposledy viděn. Modrá šipka značí viditelnou dráhu meteoru.

static map
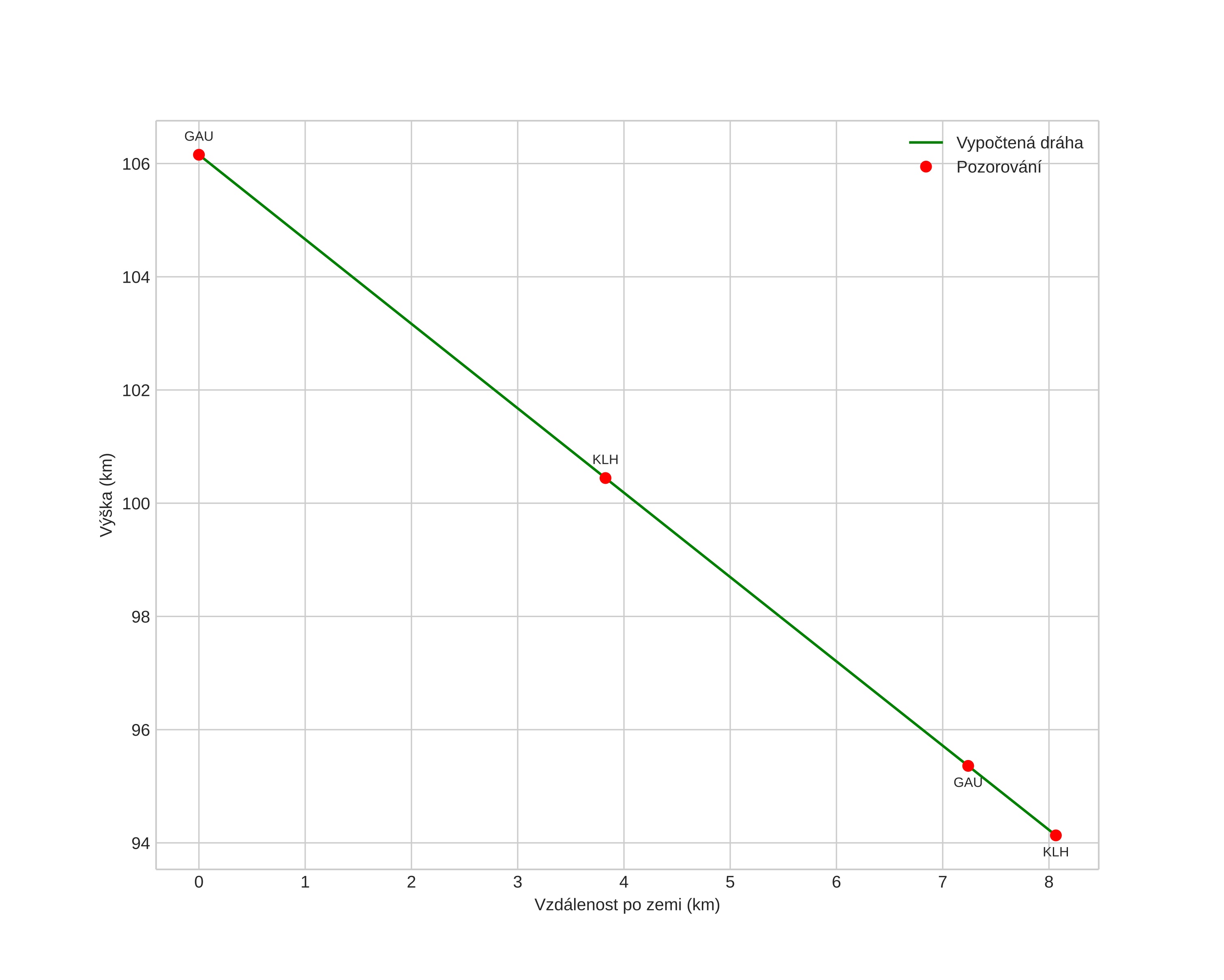
height profile
Atmosférická dráha meteoru:
Počáteční výška: 106,2 km
Konečná výška: 94,2 km
Počáteční poloha: 58,094N 10,196E
Konečná poloha: 58,061N 10,073E
Směr: 243,3°
Sklon: 56,0°
VstupnĂ­ rychlost: 64,0 km/s
Rektascenze radiantu: 02:56 (44,0°)
Deklinace radiantu: 56,6°
MeteorickĂ˝ roj: Perseidy
Elementy dráhy meteoroidu:
Vzdálenost v periheliu: 0,965 AU
Excentricita: 1,231
Sklon dráhy: 116,3°
Délka vzestupného uzlu: 137,8°
Argument perihelia: 156,0°
Střední anomálie: 1,8°
Epocha: 2023 AUG 11 00:37:17
orbit plot

NeinteraktivnĂ­ graf | InteraktivnĂ­ graf

position vs time
speed and acceleration