🇳🇴 🇬🇧 🇩🇪 🇨🇿 🇫🇮

Meteor Hirtshalsin yllä 2023-08-11 00:37:17 UTC

KML-tiedosto  |  Interaktiivinen kartta

Kartta näyttää meteorin suuntahavainnot. Vaaleammat viivat näyttävät suunnat havaintoasemilta meteorin ilmestyessä, ja tummemmat viivat näyttävät, missä se viimeksi nähtiin. Sininen nuoli näyttää meteorin näkyvän lennon.

static map
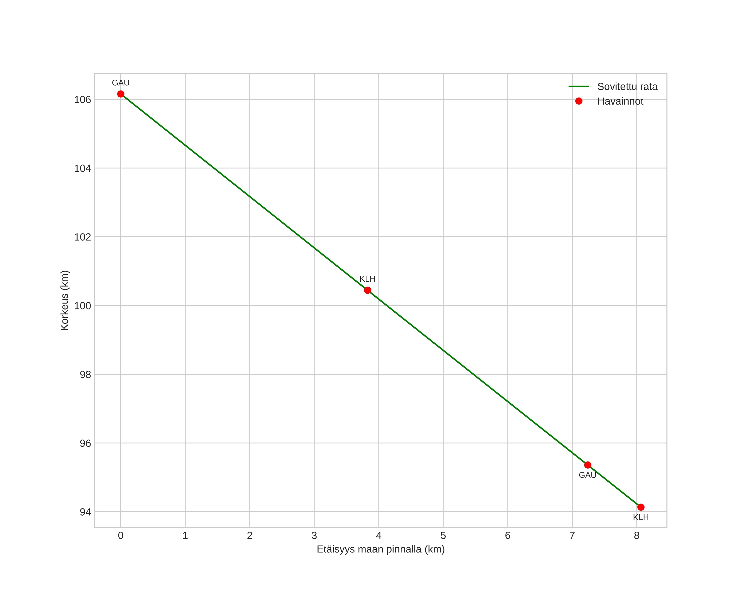
height profile
Meteorin ilmakehärata:
Alkukorkeus: 106,2 km
Loppukorkeus: 94,2 km
Alkupiste: 58,094N 10,196E
Loppupiste: 58,061N 10,073E
Suunta: 243,3°
Kallistuskulma: 56,0°
Tulonopeus: 64,0 km/s
Radiantin R,A,: 02:56 (44,0°)
Radiantin Dekl,: 56,6°
Meteoriparvi: Perseidit
Meteoroidin rataelementit:
Perihelietäisyys: 0,965 AU
Eksentrisyys: 1,231
Inklinaatio: 116,3°
Nousevan solmun pituus: 137,8°
Perihelin argumentti: 156,0°
Keskianomalia: 1,8°
Epookki: 2023 AUG 11 00:37:17
orbit plot

Ei-interaktiivinen kuvaaja | Interaktiivinen kuvaaja

position vs time
speed and acceleration