🇳🇴 🇬🇧 🇩🇪 🇨🇿 🇫🇮

Meteor, poloha: Løkken 2023-08-11 01:05:47 UTC

Soubor KML  |  InteraktivnĂ­ mapa

Mapa zobrazuje dráhy meteoru. Světlejší čáry ukazují směry od pozorovacích stanic při objevení se meteoru a tmavší čáry, kde byl naposledy viděn. Modrá šipka značí viditelnou dráhu meteoru.

static map
height profile
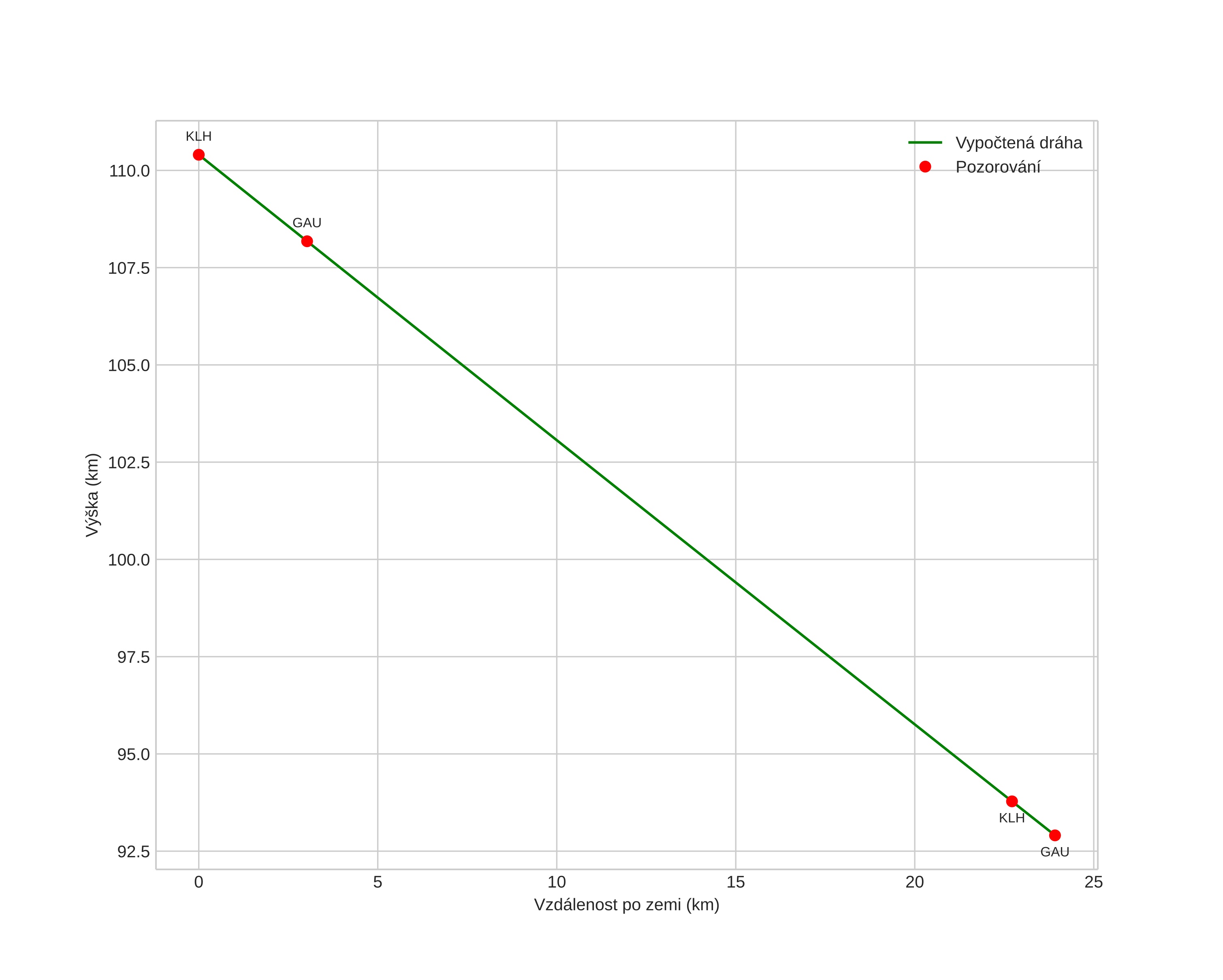
Atmosférická dráha meteoru:
Počáteční výška: 110,9 km
Konečná výška: 93,2 km
Počáteční poloha: 57,562N 9,775E
Konečná poloha: 57,602N 9,382E
Směr: 281,0°
Sklon: 36,6°
VstupnĂ­ rychlost: 71,5 km/s
Rektascenze radiantu: 03:01 (45,4°)
Deklinace radiantu: 24,5°
MeteorickĂ˝ roj: sporadickĂ˝
Elementy dráhy meteoroidu:
Vzdálenost v periheliu: 1,011 AU
Excentricita: 0,966
Sklon dráhy: 167,9°
Délka vzestupného uzlu: 137,8°
Argument perihelia: 173,6°
Střední anomálie: 0,0°
Epocha: 2023 AUG 11 01:05:47
orbit plot

NeinteraktivnĂ­ graf | InteraktivnĂ­ graf

position vs time
speed and acceleration