🇳🇴 🇬🇧 🇩🇪 🇨🇿 🇫🇮

Meteor Løkkenin yllä 2023-08-11 01:05:47 UTC

KML-tiedosto  |  Interaktiivinen kartta

Kartta näyttää meteorin suuntahavainnot. Vaaleammat viivat näyttävät suunnat havaintoasemilta meteorin ilmestyessä, ja tummemmat viivat näyttävät, missä se viimeksi nähtiin. Sininen nuoli näyttää meteorin näkyvän lennon.

static map
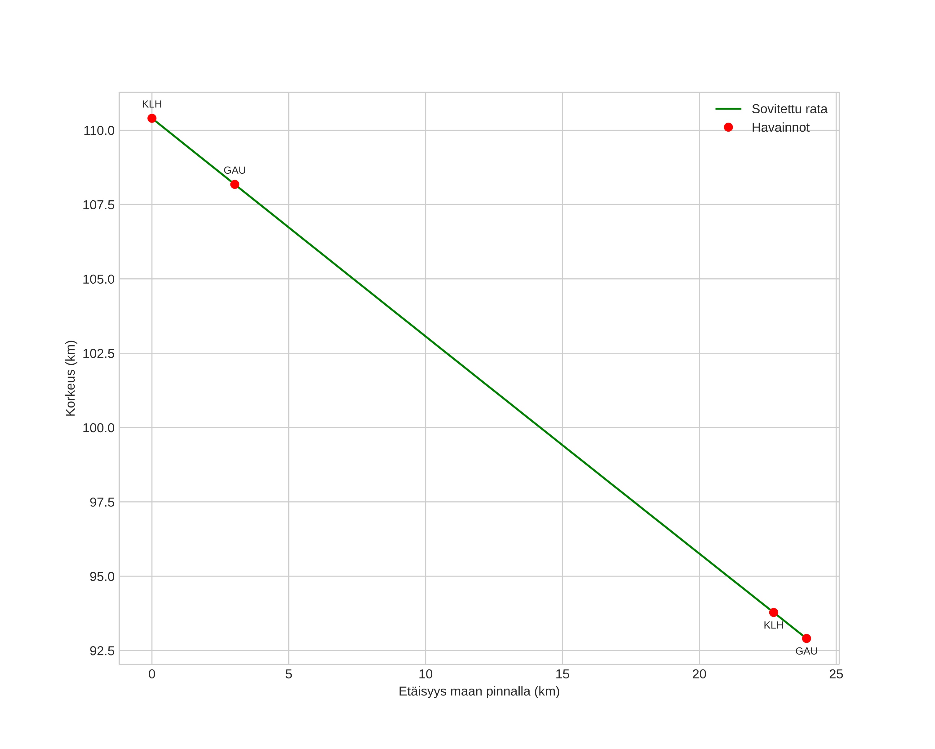
height profile
Meteorin ilmakehärata:
Alkukorkeus: 110,9 km
Loppukorkeus: 93,2 km
Alkupiste: 57,562N 9,775E
Loppupiste: 57,602N 9,382E
Suunta: 281,0°
Kallistuskulma: 36,6°
Tulonopeus: 71,5 km/s
Radiantin R,A,: 03:01 (45,4°)
Radiantin Dekl,: 24,5°
Meteoriparvi: Sporadinen
Meteoroidin rataelementit:
Perihelietäisyys: 1,011 AU
Eksentrisyys: 0,966
Inklinaatio: 167,9°
Nousevan solmun pituus: 137,8°
Perihelin argumentti: 173,6°
Keskianomalia: 0,0°
Epookki: 2023 AUG 11 01:05:47
orbit plot

Ei-interaktiivinen kuvaaja | Interaktiivinen kuvaaja

position vs time
speed and acceleration