🇳🇴 🇬🇧 🇩🇪 🇨🇿 🇫🇮

Meteor, poloha: Stebliv 2023-08-13 22:53:43 UTC

Soubor KML  |  InteraktivnĂ­ mapa

Mapa zobrazuje dráhy meteoru. Světlejší čáry ukazují směry od pozorovacích stanic při objevení se meteoru a tmavší čáry, kde byl naposledy viděn. Modrá šipka značí viditelnou dráhu meteoru.

static map
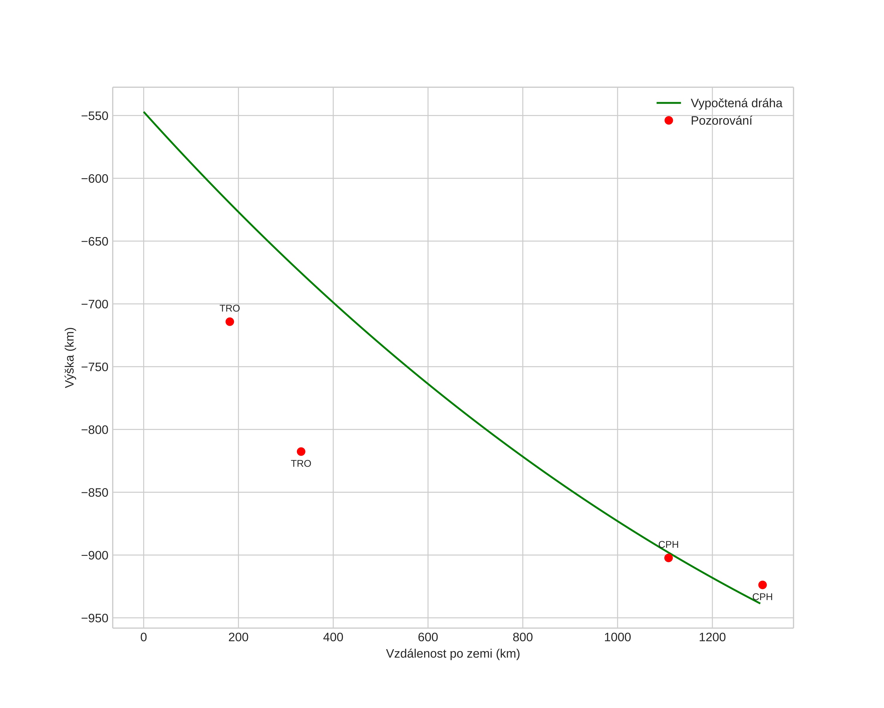
height profile
Atmosférická dráha meteoru:
Počáteční výška: -545,5 km
Konečná výška: -939,9 km
Počáteční poloha: 55,919N 15,004E
Konečná poloha: 49,338N 31,104E
Směr: 117,3°
Sklon: 16,8°
VstupnĂ­ rychlost: 658,1 km/s
Rektascenze radiantu: 14:27 (216,9°)
Deklinace radiantu: 29,1°
MeteorickĂ˝ roj: sporadickĂ˝
Elementy dráhy meteoroidu:
Vzdálenost v periheliu: 0,950 AU
Excentricita: 491,577
Sklon dráhy: 42,7°
Délka vzestupného uzlu: 140,6°
Argument perihelia: 159,7°
Střední anomálie: 10383,5°
Epocha: 2023 AUG 13 22:53:43
orbit plot

NeinteraktivnĂ­ graf | InteraktivnĂ­ graf

position vs time
speed and acceleration