🇳🇴 🇬🇧 🇩🇪 🇨🇿 🇫🇮

Meteor Steblivin yllä 2023-08-13 22:53:43 UTC

KML-tiedosto  |  Interaktiivinen kartta

Kartta näyttää meteorin suuntahavainnot. Vaaleammat viivat näyttävät suunnat havaintoasemilta meteorin ilmestyessä, ja tummemmat viivat näyttävät, missä se viimeksi nähtiin. Sininen nuoli näyttää meteorin näkyvän lennon.

static map
height profile
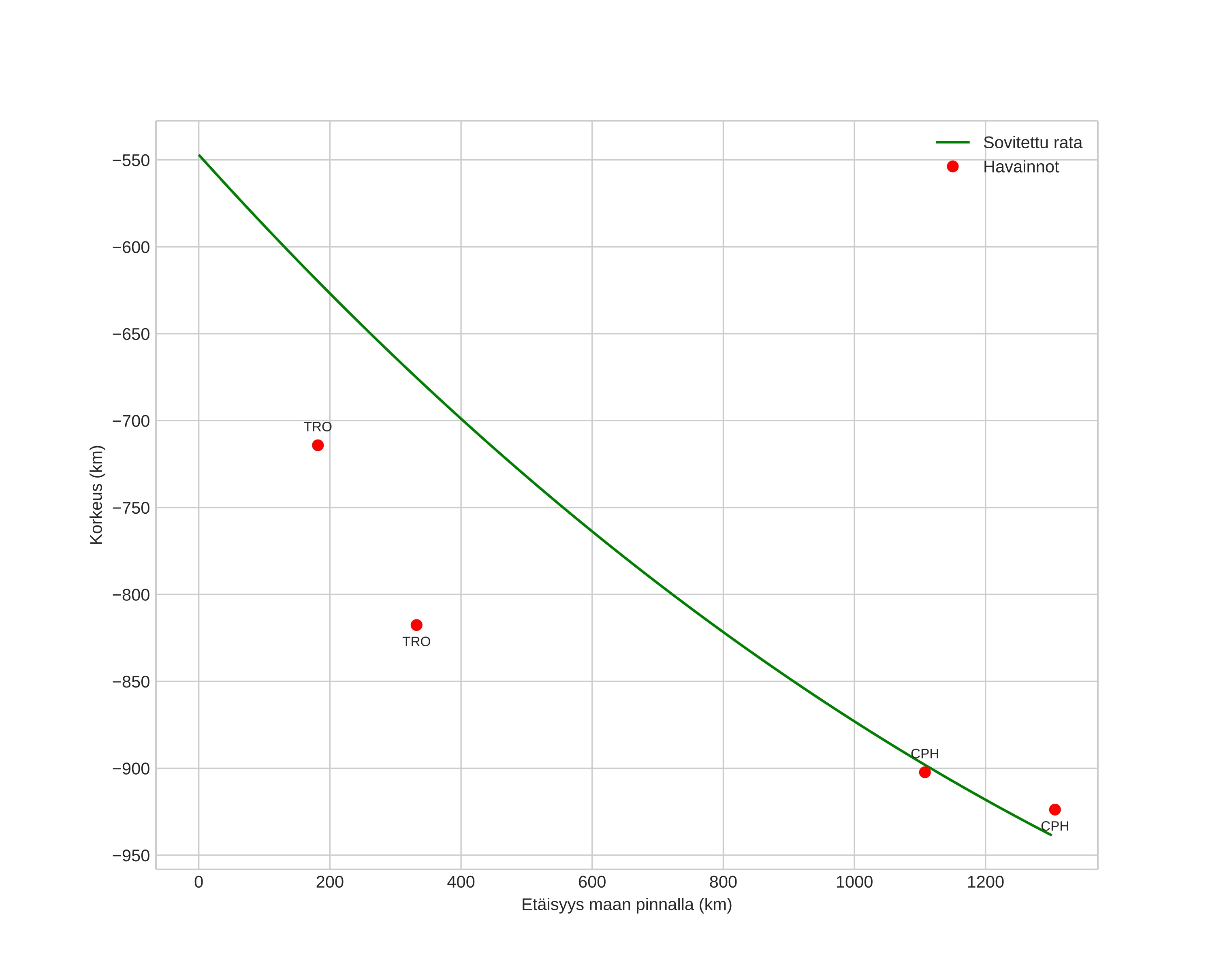
Meteorin ilmakehärata:
Alkukorkeus: -545,5 km
Loppukorkeus: -939,9 km
Alkupiste: 55,919N 15,004E
Loppupiste: 49,338N 31,104E
Suunta: 117,3°
Kallistuskulma: 16,8°
Tulonopeus: 658,1 km/s
Radiantin R,A,: 14:27 (216,9°)
Radiantin Dekl,: 29,1°
Meteoriparvi: Sporadinen
Meteoroidin rataelementit:
Perihelietäisyys: 0,950 AU
Eksentrisyys: 491,577
Inklinaatio: 42,7°
Nousevan solmun pituus: 140,6°
Perihelin argumentti: 159,7°
Keskianomalia: 10383,5°
Epookki: 2023 AUG 13 22:53:43
orbit plot

Ei-interaktiivinen kuvaaja | Interaktiivinen kuvaaja

position vs time
speed and acceleration