🇳🇴 🇬🇧 🇩🇪 🇨🇿 🇫🇮

Meteor, poloha: Bua 2023-08-17 21:19:58 UTC

Soubor KML  |  InteraktivnĂ­ mapa

Mapa zobrazuje dráhy meteoru. Světlejší čáry ukazují směry od pozorovacích stanic při objevení se meteoru a tmavší čáry, kde byl naposledy viděn. Modrá šipka značí viditelnou dráhu meteoru.

static map
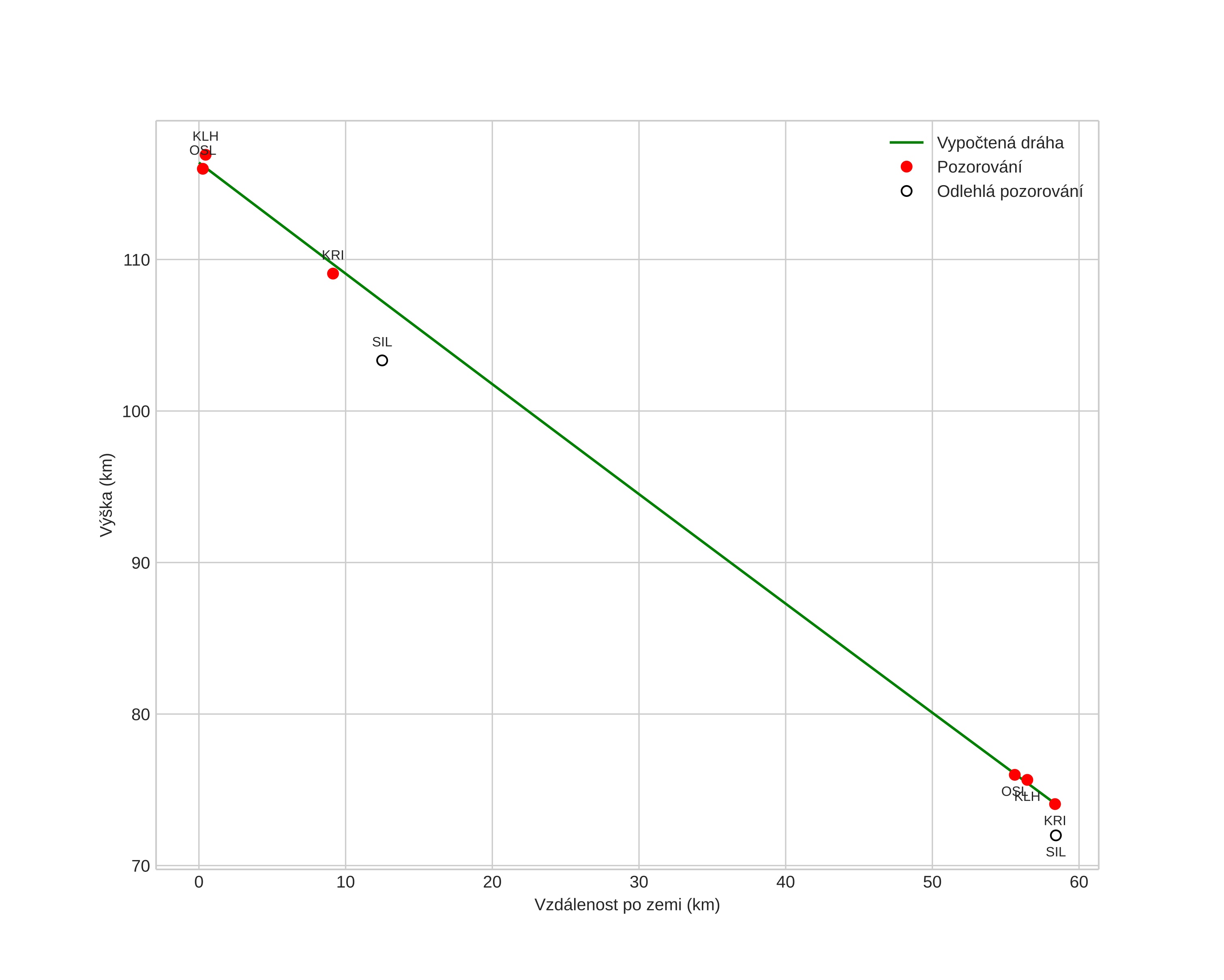
height profile
Atmosférická dráha meteoru:
Počáteční výška: 116,1 km
Konečná výška: 74,1 km
Počáteční poloha: 57,495N 12,308E
Konečná poloha: 57,054N 11,781E
Směr: 213,1°
Sklon: 35,8°
VstupnĂ­ rychlost: 59,6 km/s
Rektascenze radiantu: 03:54 (58,7°)
Deklinace radiantu: 58,8°
MeteorickĂ˝ roj: Perseidy
Elementy dráhy meteoroidu:
Vzdálenost v periheliu: 0,914 AU
Excentricita: 0,893
Sklon dráhy: 113,1°
Délka vzestupného uzlu: 144,4°
Argument perihelia: 142,6°
Střední anomálie: 1,0°
Epocha: 2023 AUG 17 21:19:58
orbit plot

NeinteraktivnĂ­ graf | InteraktivnĂ­ graf

position vs time
speed and acceleration