🇳🇴 🇬🇧 🇩🇪 🇨🇿 🇫🇮

Meteor Buan yllä 2023-08-17 21:19:58 UTC

KML-tiedosto  |  Interaktiivinen kartta

Kartta näyttää meteorin suuntahavainnot. Vaaleammat viivat näyttävät suunnat havaintoasemilta meteorin ilmestyessä, ja tummemmat viivat näyttävät, missä se viimeksi nähtiin. Sininen nuoli näyttää meteorin näkyvän lennon.

static map
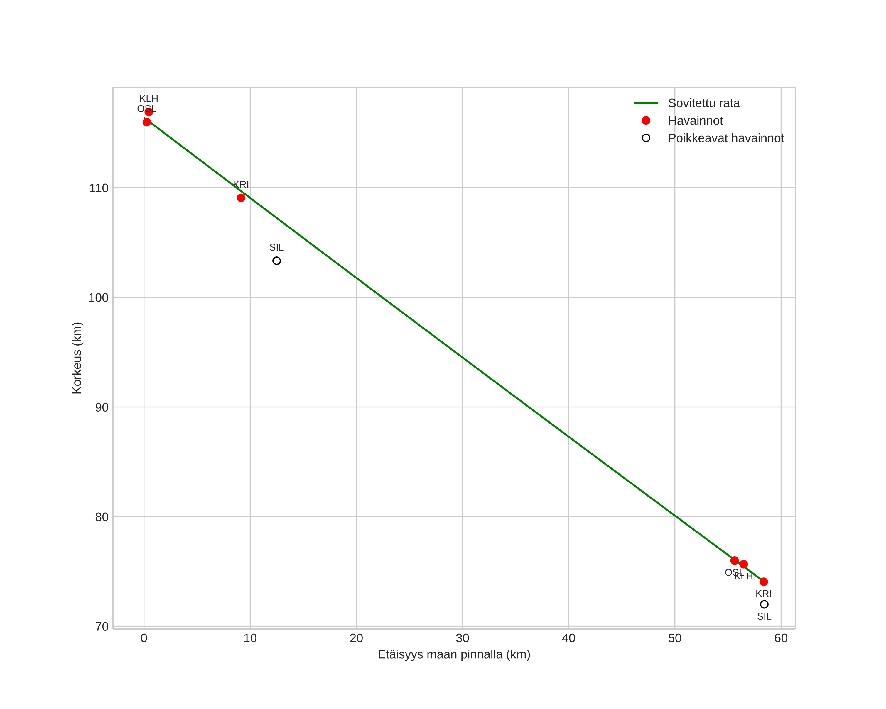
height profile
Meteorin ilmakehärata:
Alkukorkeus: 116,1 km
Loppukorkeus: 74,1 km
Alkupiste: 57,495N 12,308E
Loppupiste: 57,054N 11,781E
Suunta: 213,1°
Kallistuskulma: 35,8°
Tulonopeus: 59,6 km/s
Radiantin R,A,: 03:54 (58,7°)
Radiantin Dekl,: 58,8°
Meteoriparvi: Perseidit
Meteoroidin rataelementit:
Perihelietäisyys: 0,914 AU
Eksentrisyys: 0,893
Inklinaatio: 113,1°
Nousevan solmun pituus: 144,4°
Perihelin argumentti: 142,6°
Keskianomalia: 1,0°
Epookki: 2023 AUG 17 21:19:58
orbit plot

Ei-interaktiivinen kuvaaja | Interaktiivinen kuvaaja

position vs time
speed and acceleration