🇳🇴 🇬🇧 🇩🇪 🇨🇿 🇫🇮

Meteor, poloha: Nørresundby 2023-08-29 00:47:06 UTC

Soubor KML  |  InteraktivnĂ­ mapa

Mapa zobrazuje dráhy meteoru. Světlejší čáry ukazují směry od pozorovacích stanic při objevení se meteoru a tmavší čáry, kde byl naposledy viděn. Modrá šipka značí viditelnou dráhu meteoru.

static map
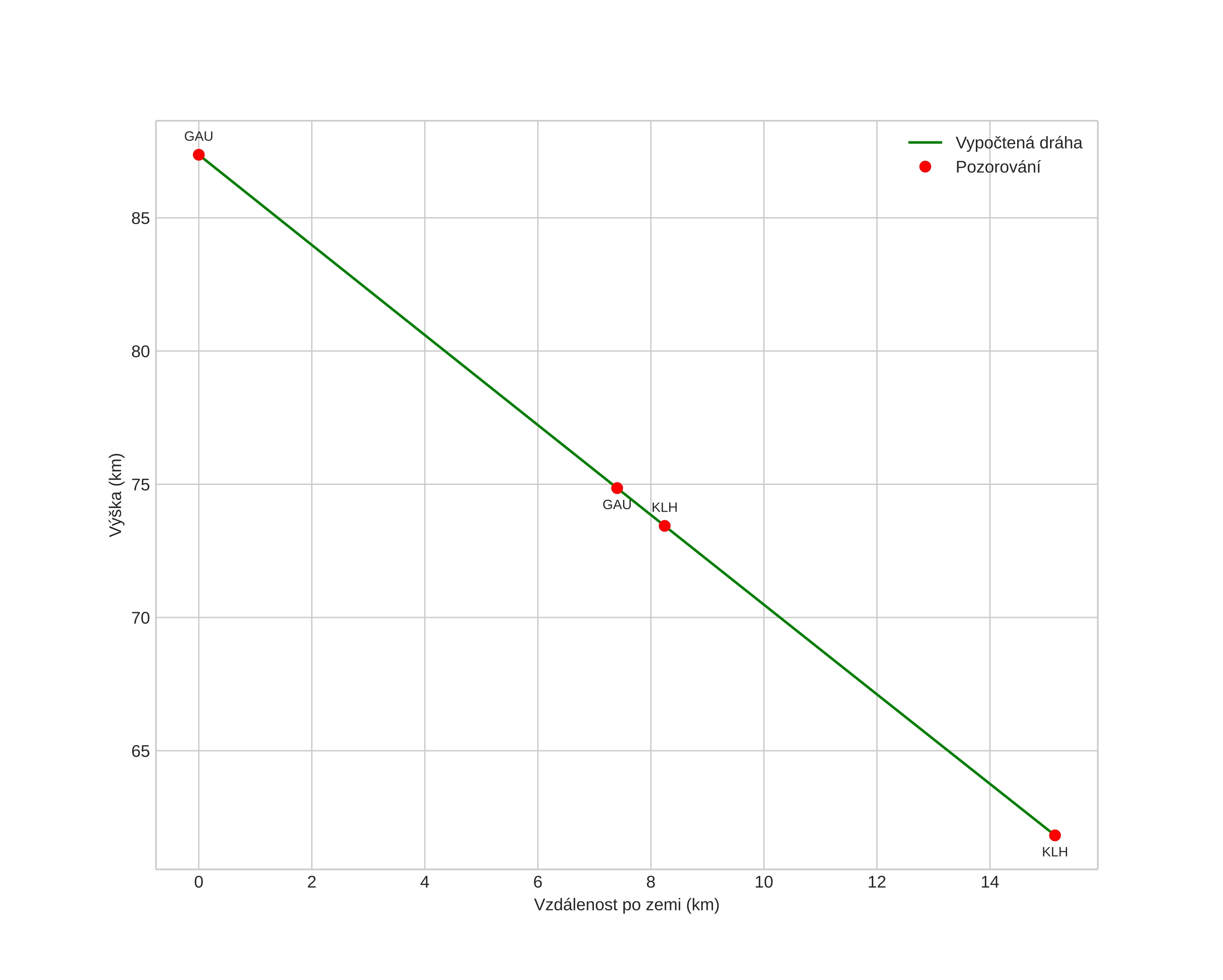
height profile
Atmosférická dráha meteoru:
Počáteční výška: 84,5 km
Konečná výška: 54,3 km
Počáteční poloha: 56,992N 10,071E
Konečná poloha: 57,096N 9,918E
Směr: 321,6°
Sklon: 63,8°
VstupnĂ­ rychlost: 56,7 km/s
Rektascenze radiantu: 01:10 (17,6°)
Deklinace radiantu: 33,9°
MeteorickĂ˝ roj: sporadickĂ˝
Elementy dráhy meteoroidu:
Vzdálenost v periheliu: 0,401 AU
Excentricita: 0,906
Sklon dráhy: 117,3°
Délka vzestupného uzlu: 155,1°
Argument perihelia: 285,6°
Střední anomálie: 355,4°
Epocha: 2023 AUG 29 00:47:06
orbit plot

NeinteraktivnĂ­ graf | InteraktivnĂ­ graf

position vs time
speed and acceleration