🇳🇴 🇬🇧 🇩🇪 🇨🇿 🇫🇮

Meteor Nørresundbyn yllä 2023-08-29 00:47:06 UTC

KML-tiedosto  |  Interaktiivinen kartta

Kartta näyttää meteorin suuntahavainnot. Vaaleammat viivat näyttävät suunnat havaintoasemilta meteorin ilmestyessä, ja tummemmat viivat näyttävät, missä se viimeksi nähtiin. Sininen nuoli näyttää meteorin näkyvän lennon.

static map
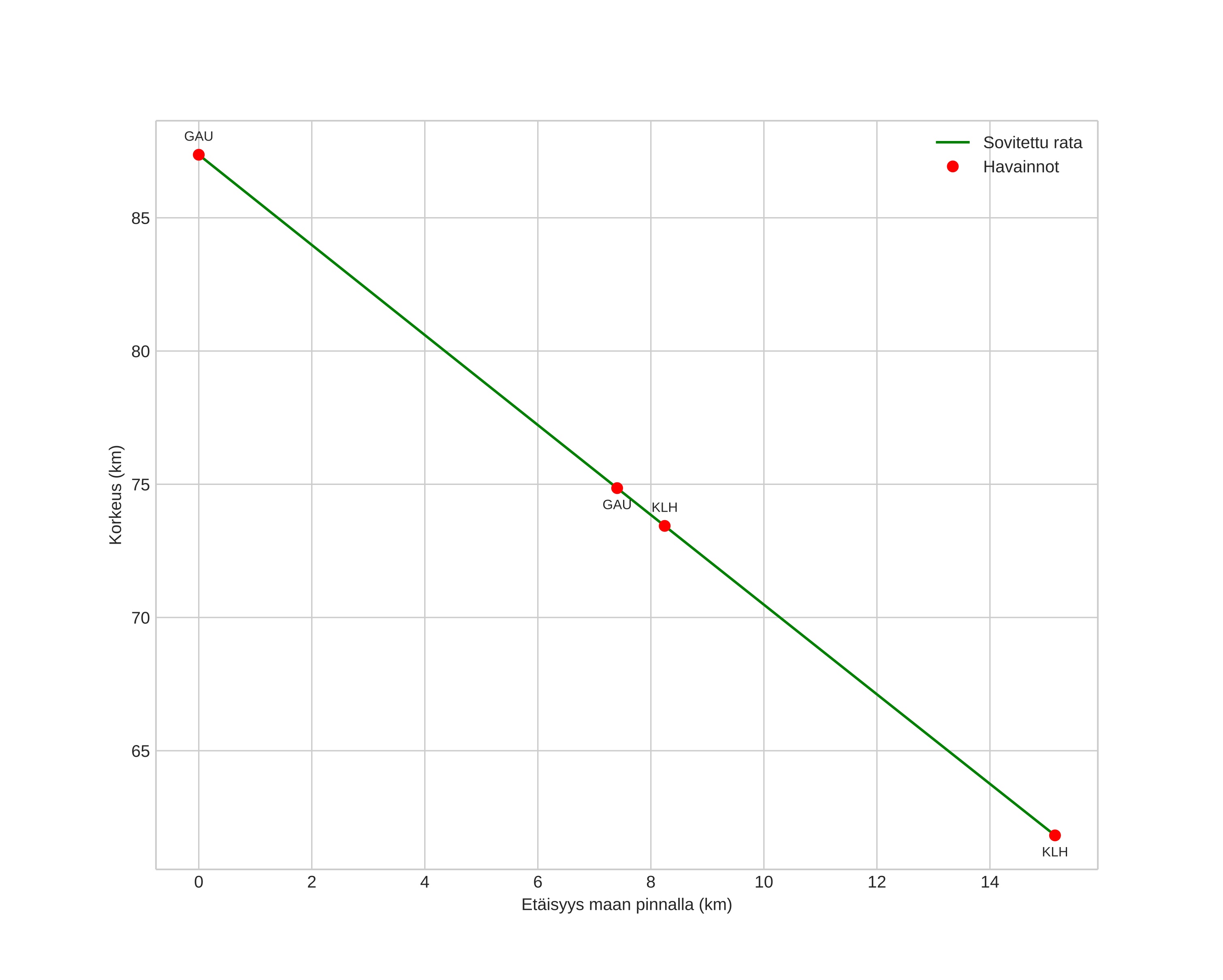
height profile
Meteorin ilmakehärata:
Alkukorkeus: 84,5 km
Loppukorkeus: 54,3 km
Alkupiste: 56,992N 10,071E
Loppupiste: 57,096N 9,918E
Suunta: 321,6°
Kallistuskulma: 63,8°
Tulonopeus: 56,7 km/s
Radiantin R,A,: 01:10 (17,6°)
Radiantin Dekl,: 33,9°
Meteoriparvi: Sporadinen
Meteoroidin rataelementit:
Perihelietäisyys: 0,401 AU
Eksentrisyys: 0,906
Inklinaatio: 117,3°
Nousevan solmun pituus: 155,1°
Perihelin argumentti: 285,6°
Keskianomalia: 355,4°
Epookki: 2023 AUG 29 00:47:06
orbit plot

Ei-interaktiivinen kuvaaja | Interaktiivinen kuvaaja

position vs time
speed and acceleration