🇳🇴 🇬🇧 🇩🇪 🇨🇿 🇫🇮

Meteor, poloha: Beder 2023-08-31 22:14:59 UTC

Soubor KML  |  InteraktivnĂ­ mapa

Mapa zobrazuje dráhy meteoru. Světlejší čáry ukazují směry od pozorovacích stanic při objevení se meteoru a tmavší čáry, kde byl naposledy viděn. Modrá šipka značí viditelnou dráhu meteoru.

static map
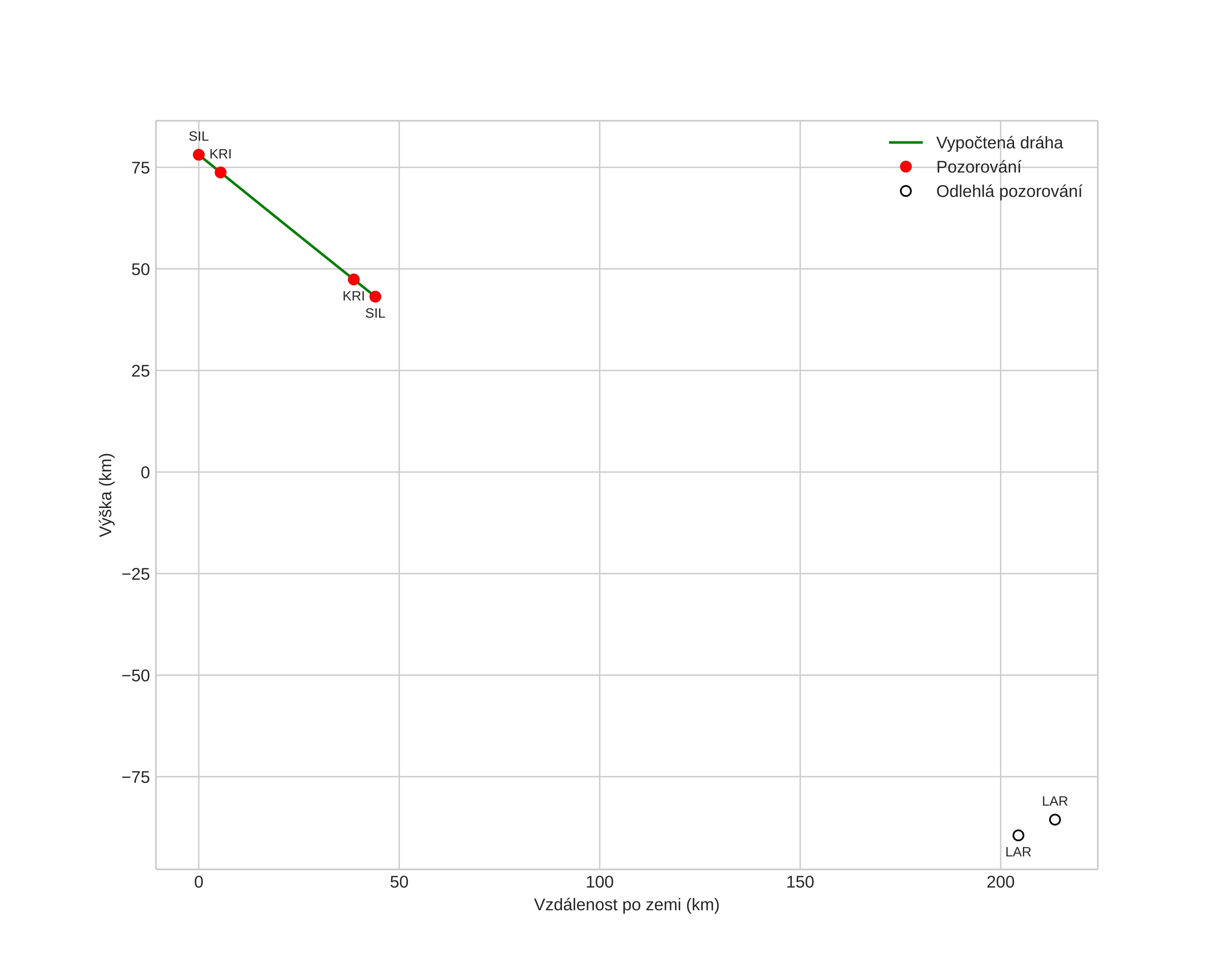
height profile
Atmosférická dráha meteoru:
Počáteční výška: 77,6 km
Konečná výška: 42,9 km
Počáteční poloha: 55,740N 10,530E
Konečná poloha: 56,094N 10,226E
Směr: 334,4°
Sklon: 38,4°
VstupnĂ­ rychlost: 30,2 km/s
Rektascenze radiantu: 22:54 (343,6°)
Deklinace radiantu: 4,5°
MeteorickĂ˝ roj: sporadickĂ˝
Elementy dráhy meteoroidu:
Vzdálenost v periheliu: 0,415 AU
Excentricita: 0,847
Sklon dráhy: 11,6°
Délka vzestupného uzlu: 157,9°
Argument perihelia: 286,5°
Střední anomálie: 350,4°
Epocha: 2023 AUG 31 22:14:59
orbit plot

NeinteraktivnĂ­ graf | InteraktivnĂ­ graf

position vs time
speed and acceleration