🇳🇴 🇬🇧 🇩🇪 🇨🇿 🇫🇮

Meteor Bederin yllä 2023-08-31 22:14:59 UTC

KML-tiedosto  |  Interaktiivinen kartta

Kartta näyttää meteorin suuntahavainnot. Vaaleammat viivat näyttävät suunnat havaintoasemilta meteorin ilmestyessä, ja tummemmat viivat näyttävät, missä se viimeksi nähtiin. Sininen nuoli näyttää meteorin näkyvän lennon.

static map
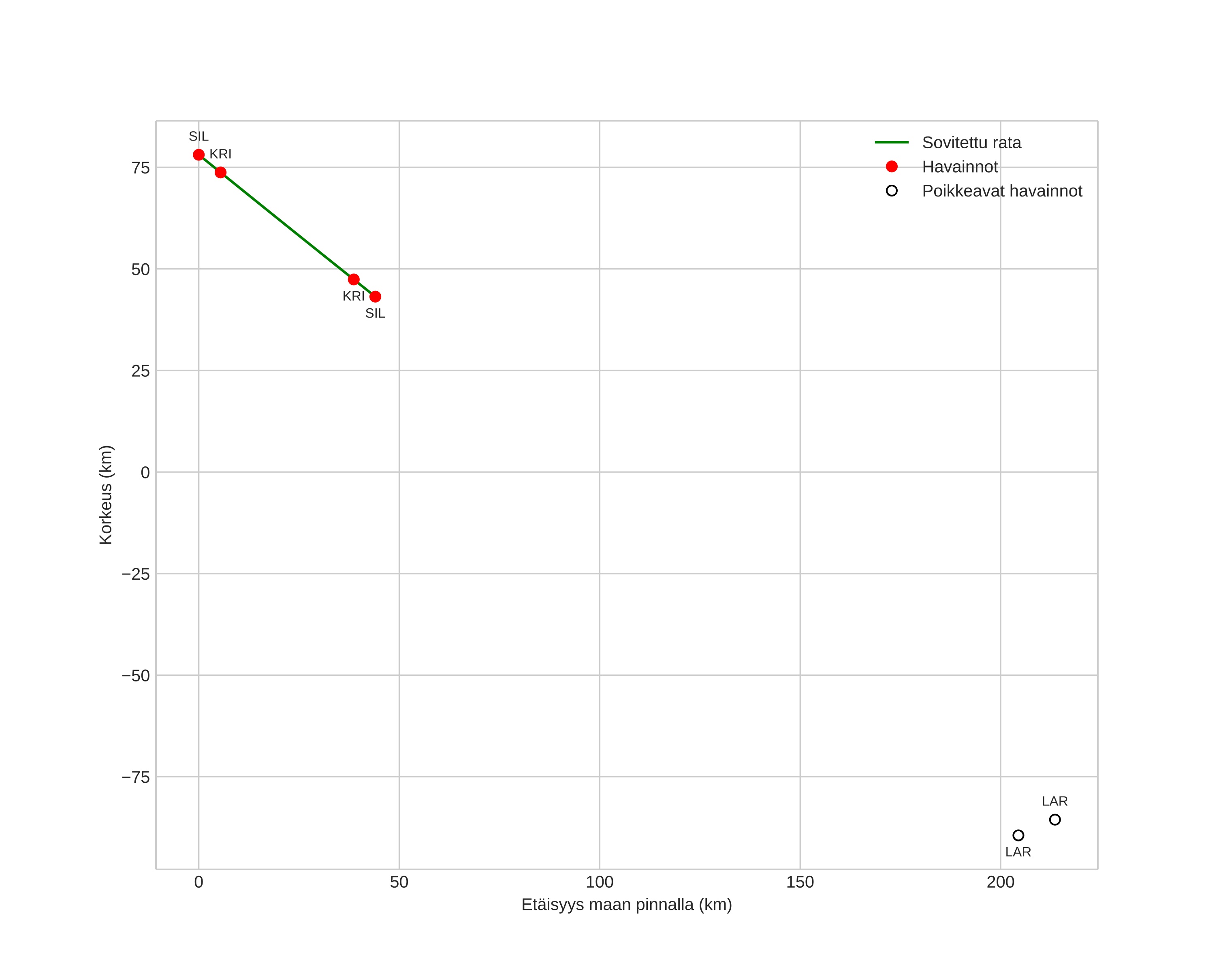
height profile
Meteorin ilmakehärata:
Alkukorkeus: 77,6 km
Loppukorkeus: 42,9 km
Alkupiste: 55,740N 10,530E
Loppupiste: 56,094N 10,226E
Suunta: 334,4°
Kallistuskulma: 38,4°
Tulonopeus: 30,2 km/s
Radiantin R,A,: 22:54 (343,6°)
Radiantin Dekl,: 4,5°
Meteoriparvi: Sporadinen
Meteoroidin rataelementit:
Perihelietäisyys: 0,415 AU
Eksentrisyys: 0,847
Inklinaatio: 11,6°
Nousevan solmun pituus: 157,9°
Perihelin argumentti: 286,5°
Keskianomalia: 350,4°
Epookki: 2023 AUG 31 22:14:59
orbit plot

Ei-interaktiivinen kuvaaja | Interaktiivinen kuvaaja

position vs time
speed and acceleration