🇳🇴 🇬🇧 🇩🇪 🇨🇿 🇫🇮

Meteor, poloha: Copenhagen 2023-09-04 19:48:14 UTC

Soubor KML  |  InteraktivnĂ­ mapa

Mapa zobrazuje dráhy meteoru. Světlejší čáry ukazují směry od pozorovacích stanic při objevení se meteoru a tmavší čáry, kde byl naposledy viděn. Modrá šipka značí viditelnou dráhu meteoru.

static map
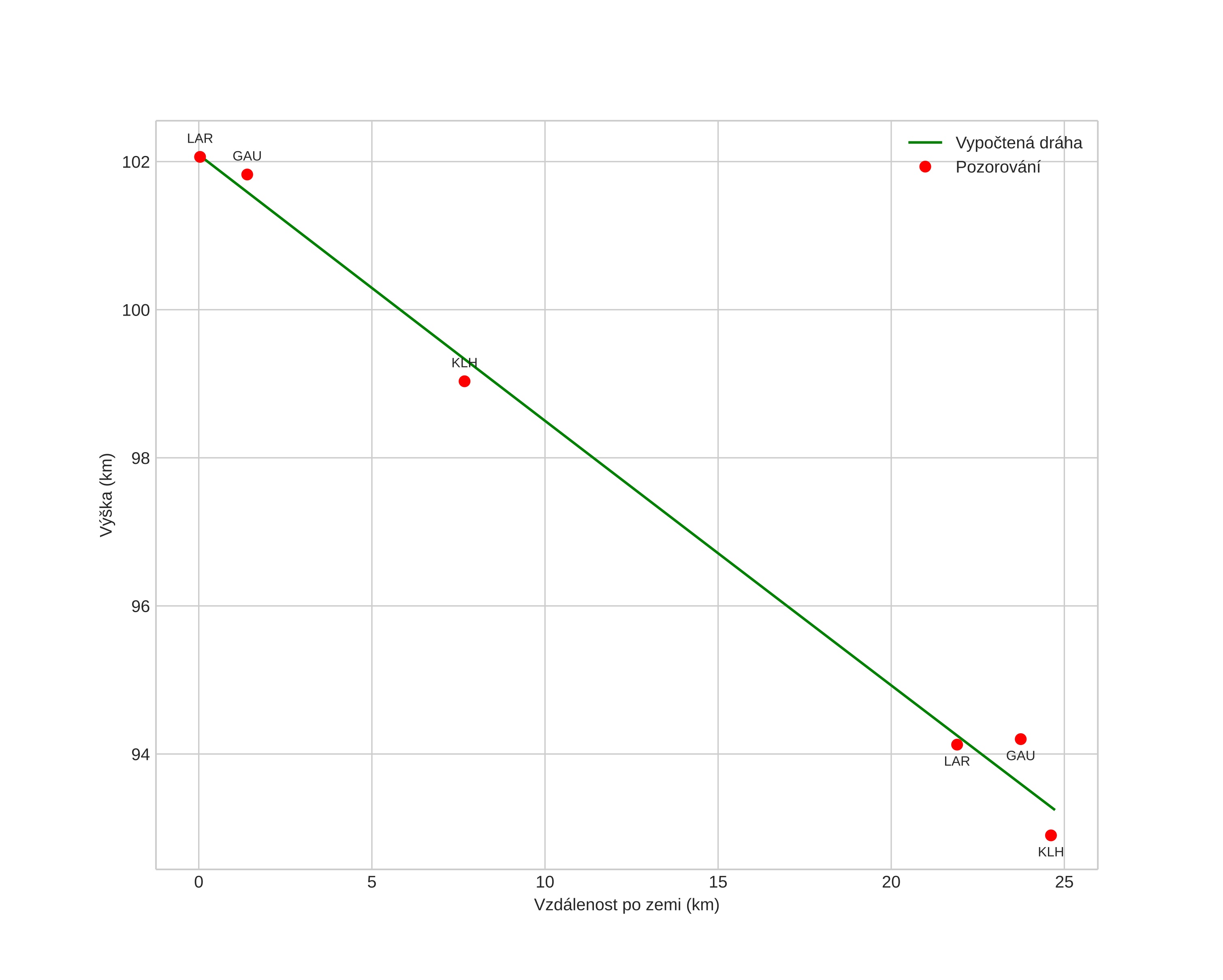
height profile
Atmosférická dráha meteoru:
Počáteční výška: 101,5 km
Konečná výška: 94,5 km
Počáteční poloha: 55,935N 12,568E
Konečná poloha: 55,704N 12,553E
Směr: 182,0°
Sklon: 15,2°
VstupnĂ­ rychlost: 81,8 km/s
Rektascenze radiantu: 07:20 (110,1°)
Deklinace radiantu: 48,9°
MeteorickĂ˝ roj: sporadickĂ˝
Elementy dráhy meteoroidu:
Vzdálenost v periheliu: 0,718 AU
Excentricita: 2,662
Sklon dráhy: 131,0°
Délka vzestupného uzlu: 161,7°
Argument perihelia: 127,1°
Střední anomálie: 75,1°
Epocha: 2023 SEP 04 19:48:14
orbit plot

NeinteraktivnĂ­ graf | InteraktivnĂ­ graf

position vs time
speed and acceleration