🇳🇴 🇬🇧 🇩🇪 🇨🇿 🇫🇮

Meteor Kööpenhaminan yllä 2023-09-04 19:48:14 UTC

KML-tiedosto  |  Interaktiivinen kartta

Kartta näyttää meteorin suuntahavainnot. Vaaleammat viivat näyttävät suunnat havaintoasemilta meteorin ilmestyessä, ja tummemmat viivat näyttävät, missä se viimeksi nähtiin. Sininen nuoli näyttää meteorin näkyvän lennon.

static map
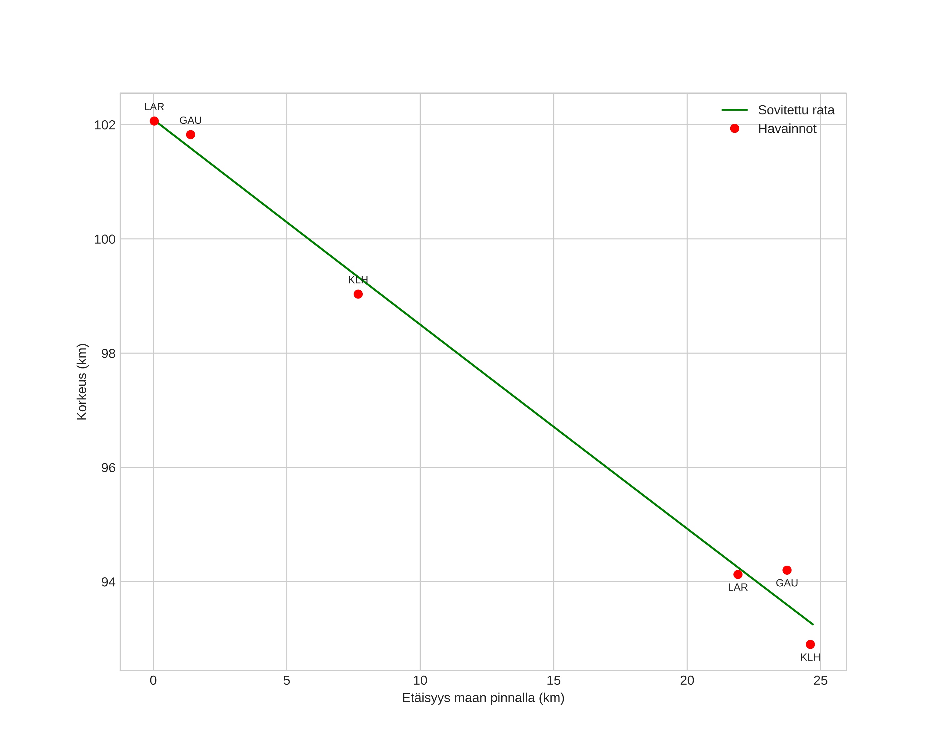
height profile
Meteorin ilmakehärata:
Alkukorkeus: 101,5 km
Loppukorkeus: 94,5 km
Alkupiste: 55,935N 12,568E
Loppupiste: 55,704N 12,553E
Suunta: 182,0°
Kallistuskulma: 15,2°
Tulonopeus: 81,8 km/s
Radiantin R,A,: 07:20 (110,1°)
Radiantin Dekl,: 48,9°
Meteoriparvi: Sporadinen
Meteoroidin rataelementit:
Perihelietäisyys: 0,718 AU
Eksentrisyys: 2,662
Inklinaatio: 131,0°
Nousevan solmun pituus: 161,7°
Perihelin argumentti: 127,1°
Keskianomalia: 75,1°
Epookki: 2023 SEP 04 19:48:14
orbit plot

Ei-interaktiivinen kuvaaja | Interaktiivinen kuvaaja

position vs time
speed and acceleration