🇳🇴 🇬🇧 🇩🇪 🇨🇿 🇫🇮

Meteor, poloha: Sandared 2023-09-06 02:49:01 UTC

Soubor KML  |  InteraktivnĂ­ mapa

Mapa zobrazuje dráhy meteoru. Světlejší čáry ukazují směry od pozorovacích stanic při objevení se meteoru a tmavší čáry, kde byl naposledy viděn. Modrá šipka značí viditelnou dráhu meteoru.

static map
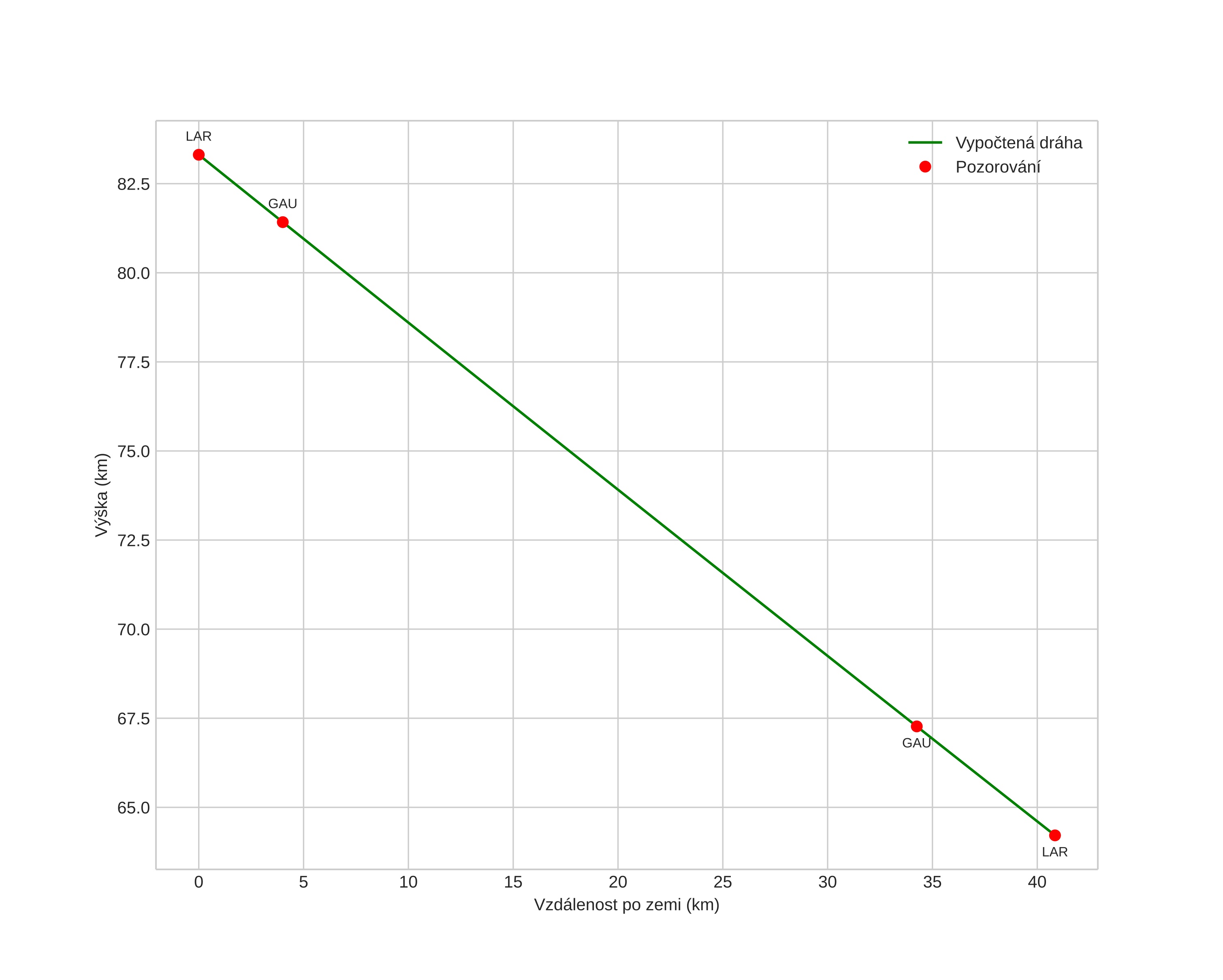
height profile
Atmosférická dráha meteoru:
Počáteční výška: 83,4 km
Konečná výška: 64,3 km
Počáteční poloha: 57,648N 12,093E
Konečná poloha: 57,742N 12,759E
Směr: 75,0°
Sklon: 25,0°
VstupnĂ­ rychlost: 23,9 km/s
Rektascenze radiantu: 22:08 (332,2°)
Deklinace radiantu: 9,4°
MeteorickĂ˝ roj: sporadickĂ˝
Elementy dráhy meteoroidu:
Vzdálenost v periheliu: 0,669 AU
Excentricita: 0,770
Sklon dráhy: 12,8°
Délka vzestupného uzlu: 163,0°
Argument perihelia: 256,8°
Střední anomálie: 351,4°
Epocha: 2023 SEP 06 02:49:01
orbit plot

NeinteraktivnĂ­ graf | InteraktivnĂ­ graf

position vs time
speed and acceleration