🇳🇴 🇬🇧 🇩🇪 🇨🇿 🇫🇮

Meteor Sandaredin yllä 2023-09-06 02:49:01 UTC

KML-tiedosto  |  Interaktiivinen kartta

Kartta näyttää meteorin suuntahavainnot. Vaaleammat viivat näyttävät suunnat havaintoasemilta meteorin ilmestyessä, ja tummemmat viivat näyttävät, missä se viimeksi nähtiin. Sininen nuoli näyttää meteorin näkyvän lennon.

static map
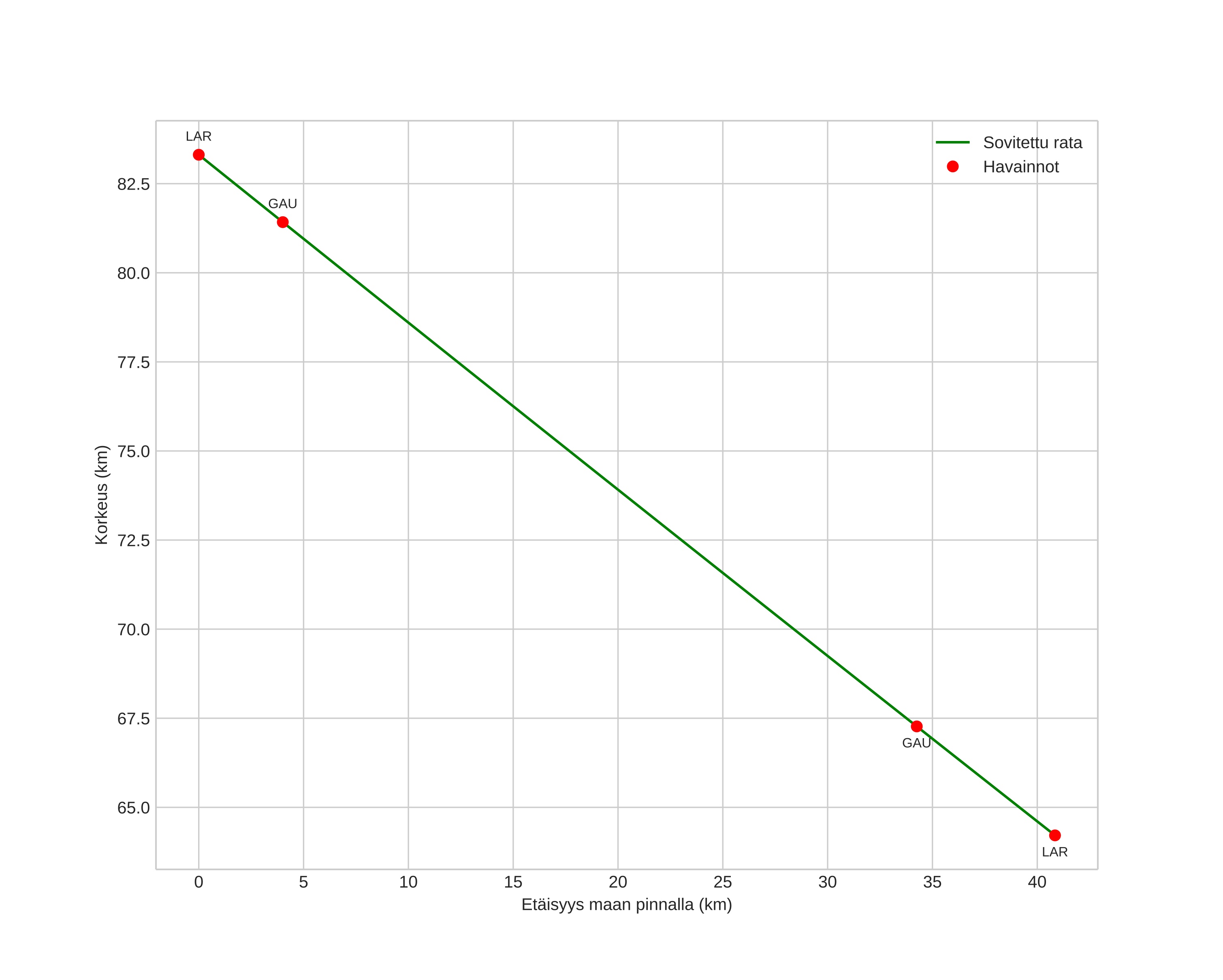
height profile
Meteorin ilmakehärata:
Alkukorkeus: 83,4 km
Loppukorkeus: 64,3 km
Alkupiste: 57,648N 12,093E
Loppupiste: 57,742N 12,759E
Suunta: 75,0°
Kallistuskulma: 25,0°
Tulonopeus: 23,9 km/s
Radiantin R,A,: 22:08 (332,2°)
Radiantin Dekl,: 9,4°
Meteoriparvi: Sporadinen
Meteoroidin rataelementit:
Perihelietäisyys: 0,669 AU
Eksentrisyys: 0,770
Inklinaatio: 12,8°
Nousevan solmun pituus: 163,0°
Perihelin argumentti: 256,8°
Keskianomalia: 351,4°
Epookki: 2023 SEP 06 02:49:01
orbit plot

Ei-interaktiivinen kuvaaja | Interaktiivinen kuvaaja

position vs time
speed and acceleration