🇳🇴 🇬🇧 🇩🇪 🇨🇿 🇫🇮

Meteor, poloha: Byrum 2023-09-06 22:54:01 UTC

Soubor KML  |  InteraktivnĂ­ mapa

Mapa zobrazuje dráhy meteoru. Světlejší čáry ukazují směry od pozorovacích stanic při objevení se meteoru a tmavší čáry, kde byl naposledy viděn. Modrá šipka značí viditelnou dráhu meteoru.

static map
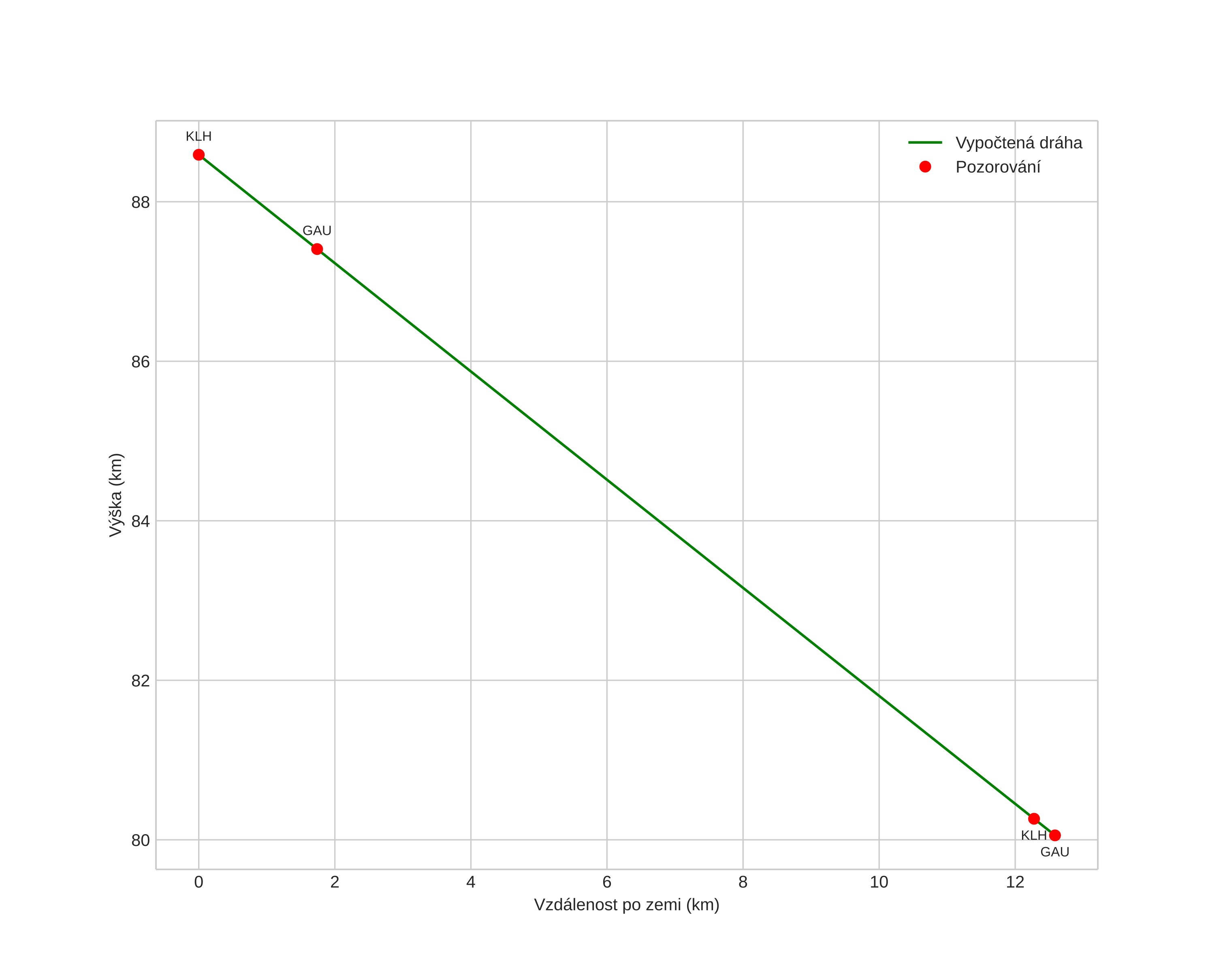
height profile
Atmosférická dráha meteoru:
Počáteční výška: 88,0 km
Konečná výška: 79,7 km
Počáteční poloha: 56,912N 10,907E
Konečná poloha: 56,838N 11,055E
Směr: 132,5°
Sklon: 34,2°
VstupnĂ­ rychlost: 25,3 km/s
Rektascenze radiantu: 15:29 (232,4°)
Deklinace radiantu: 48,1°
MeteorickĂ˝ roj: sporadickĂ˝
Elementy dráhy meteoroidu:
Vzdálenost v periheliu: 0,978 AU
Excentricita: 1,037
Sklon dráhy: 29,4°
Délka vzestupného uzlu: 163,8°
Argument perihelia: 160,4°
Střední anomálie: 0,1°
Epocha: 2023 SEP 06 22:54:01
orbit plot

NeinteraktivnĂ­ graf | InteraktivnĂ­ graf

position vs time
speed and acceleration