🇳🇴 🇬🇧 🇩🇪 🇨🇿 🇫🇮

Meteor Byrumin yllä 2023-09-06 22:54:01 UTC

KML-tiedosto  |  Interaktiivinen kartta

Kartta näyttää meteorin suuntahavainnot. Vaaleammat viivat näyttävät suunnat havaintoasemilta meteorin ilmestyessä, ja tummemmat viivat näyttävät, missä se viimeksi nähtiin. Sininen nuoli näyttää meteorin näkyvän lennon.

static map
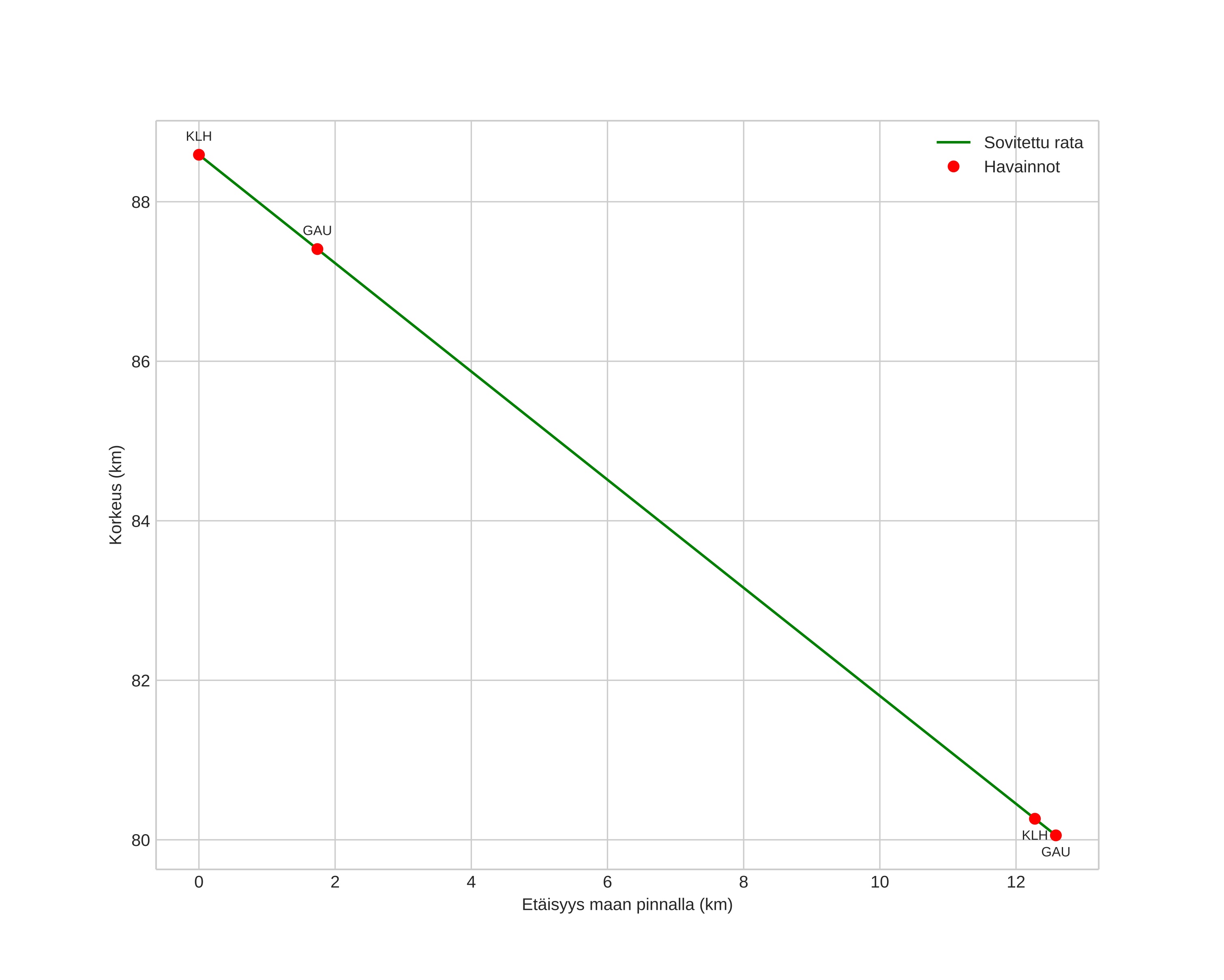
height profile
Meteorin ilmakehärata:
Alkukorkeus: 88,0 km
Loppukorkeus: 79,7 km
Alkupiste: 56,912N 10,907E
Loppupiste: 56,838N 11,055E
Suunta: 132,5°
Kallistuskulma: 34,2°
Tulonopeus: 25,3 km/s
Radiantin R,A,: 15:29 (232,4°)
Radiantin Dekl,: 48,1°
Meteoriparvi: Sporadinen
Meteoroidin rataelementit:
Perihelietäisyys: 0,978 AU
Eksentrisyys: 1,037
Inklinaatio: 29,4°
Nousevan solmun pituus: 163,8°
Perihelin argumentti: 160,4°
Keskianomalia: 0,1°
Epookki: 2023 SEP 06 22:54:01
orbit plot

Ei-interaktiivinen kuvaaja | Interaktiivinen kuvaaja

position vs time
speed and acceleration