🇳🇴 🇬🇧 🇩🇪 🇨🇿 🇫🇮

Meteor, poloha: Thyborøn 2023-09-13 19:16:37 UTC

Soubor KML  |  InteraktivnĂ­ mapa

Mapa zobrazuje dráhy meteoru. Světlejší čáry ukazují směry od pozorovacích stanic při objevení se meteoru a tmavší čáry, kde byl naposledy viděn. Modrá šipka značí viditelnou dráhu meteoru.

static map
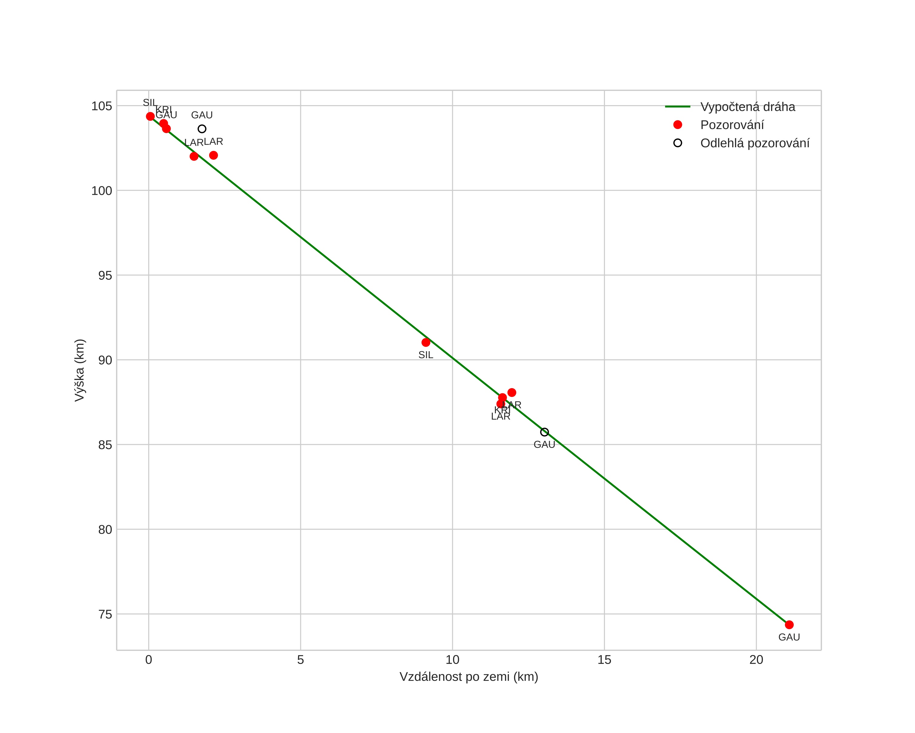
height profile
Atmosférická dráha meteoru:
Počáteční výška: 105,0 km
Konečná výška: 74,1 km
Počáteční poloha: 57,153N 7,791E
Konečná poloha: 56,967N 7,771E
Směr: 183,4°
Sklon: 56,3°
VstupnĂ­ rychlost: 46,6 km/s
Rektascenze radiantu: 03:32 (53,0°)
Deklinace radiantu: 87,9°
MeteorickĂ˝ roj: sporadickĂ˝
Elementy dráhy meteoroidu:
Vzdálenost v periheliu: 1,005 AU
Excentricita: 1,034
Sklon dráhy: 75,6°
Délka vzestupného uzlu: 170,4°
Argument perihelia: 175,3°
Střední anomálie: 0,0°
Epocha: 2023 SEP 13 19:16:37
orbit plot

NeinteraktivnĂ­ graf | InteraktivnĂ­ graf

position vs time
speed and acceleration