🇳🇴 🇬🇧 🇩🇪 🇨🇿 🇫🇮

Meteor Thyborønin yllä 2023-09-13 19:16:37 UTC

KML-tiedosto  |  Interaktiivinen kartta

Kartta näyttää meteorin suuntahavainnot. Vaaleammat viivat näyttävät suunnat havaintoasemilta meteorin ilmestyessä, ja tummemmat viivat näyttävät, missä se viimeksi nähtiin. Sininen nuoli näyttää meteorin näkyvän lennon.

static map
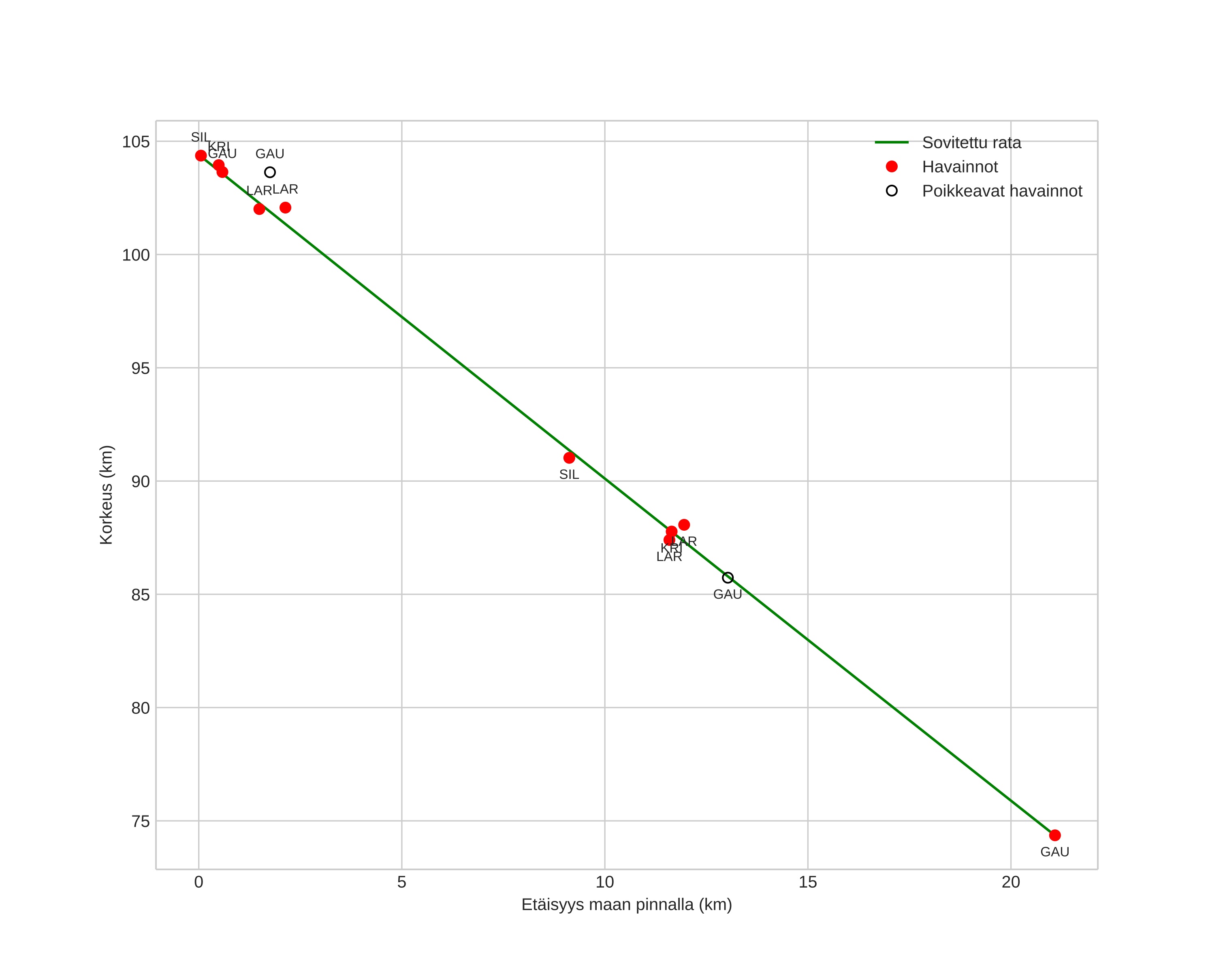
height profile
Meteorin ilmakehärata:
Alkukorkeus: 105,0 km
Loppukorkeus: 74,1 km
Alkupiste: 57,153N 7,791E
Loppupiste: 56,967N 7,771E
Suunta: 183,4°
Kallistuskulma: 56,3°
Tulonopeus: 46,6 km/s
Radiantin R,A,: 03:32 (53,0°)
Radiantin Dekl,: 87,9°
Meteoriparvi: Sporadinen
Meteoroidin rataelementit:
Perihelietäisyys: 1,005 AU
Eksentrisyys: 1,034
Inklinaatio: 75,6°
Nousevan solmun pituus: 170,4°
Perihelin argumentti: 175,3°
Keskianomalia: 0,0°
Epookki: 2023 SEP 13 19:16:37
orbit plot

Ei-interaktiivinen kuvaaja | Interaktiivinen kuvaaja

position vs time
speed and acceleration