🇳🇴 🇬🇧 🇩🇪 🇨🇿 🇫🇮

Meteor über Tjøme 2023-10-06 20:13:34 UTC

KML-Datei  |  Interaktive Karte

Die Karte zeigt die Peilungen für den Meteor. Die helleren Linien zeigen die Richtungen von den Beobachtungsorten beim Erscheinen des Meteors, und die dunkleren Linien, wo er zuletzt gesehen wurde. Der blaue Pfeil zeigt die sichtbare Bahn des Meteors.

static map
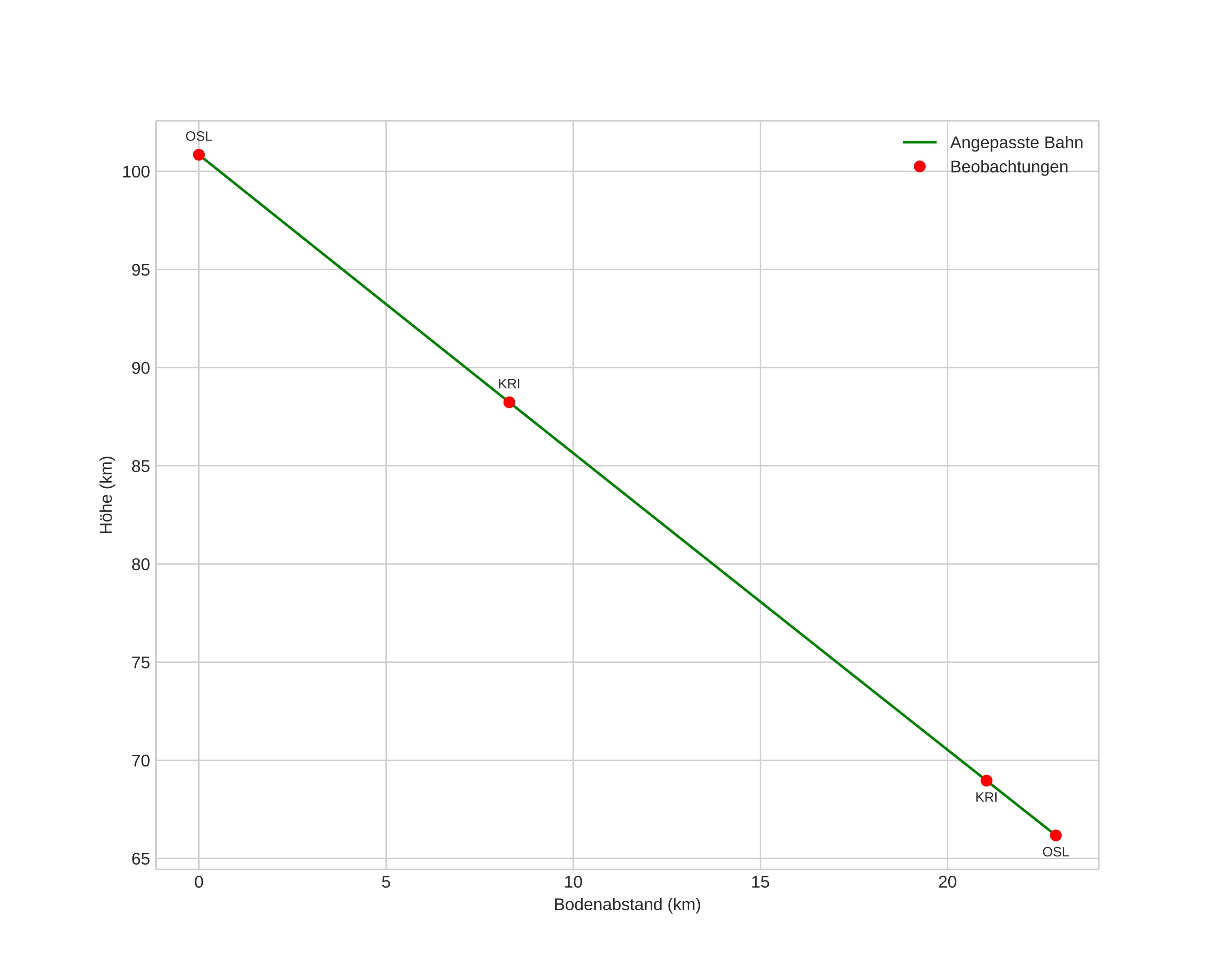
height profile
Atmosphärische Bahn des Meteors:
Anfangshöhe: 100,5 km
Endhöhe: 66,8 km
Startposition: 58,765N 10,642E
Endposition: 58,862N 10,303E
Richtung: 299,1°
Neigungswinkel: 56,5°
Eintrittsgeschwindigkeit: 34,3 km/s
Rektaszension des Radianten: 00:20 (5,1°)
Deklination des Radianten: 34,1°
Meteorstrom: sporadisch
Bahnelemente des Meteoroiden:
Periheldistanz: 0,539 AU
Exzentrizität: 0,997
Inklination: 30,5°
Länge des aufsteigenden Knotens: 193,0°
Argument des Perihels: 265,6°
Mittlere Anomalie: 360,0°
Epoche: 2023 OCT 06 20:13:34
orbit plot

Nicht-interaktives Diagramm | Interaktives Diagramm

position vs time
speed and acceleration