🇳🇴 🇬🇧 🇩🇪 🇨🇿 🇫🇮

Meteor Tjømen yllä 2023-10-06 20:13:34 UTC

KML-tiedosto  |  Interaktiivinen kartta

Kartta näyttää meteorin suuntahavainnot. Vaaleammat viivat näyttävät suunnat havaintoasemilta meteorin ilmestyessä, ja tummemmat viivat näyttävät, missä se viimeksi nähtiin. Sininen nuoli näyttää meteorin näkyvän lennon.

static map
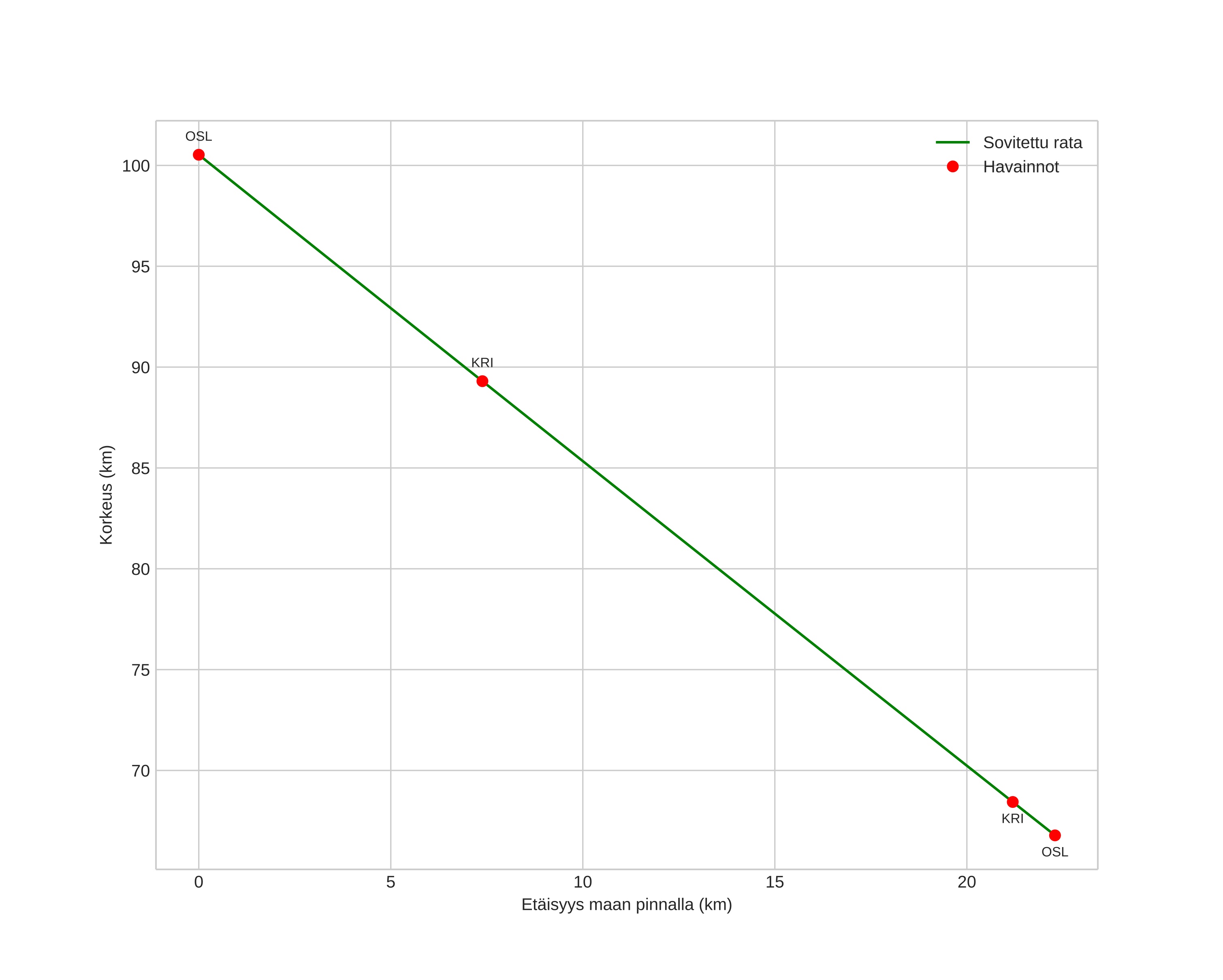
height profile
Meteorin ilmakehärata:
Alkukorkeus: 100,5 km
Loppukorkeus: 66,8 km
Alkupiste: 58,765N 10,642E
Loppupiste: 58,862N 10,303E
Suunta: 299,1°
Kallistuskulma: 56,5°
Tulonopeus: 34,3 km/s
Radiantin R,A,: 00:20 (5,1°)
Radiantin Dekl,: 34,1°
Meteoriparvi: Sporadinen
Meteoroidin rataelementit:
Perihelietäisyys: 0,539 AU
Eksentrisyys: 0,997
Inklinaatio: 30,5°
Nousevan solmun pituus: 193,0°
Perihelin argumentti: 265,6°
Keskianomalia: 360,0°
Epookki: 2023 OCT 06 20:13:34
orbit plot

Ei-interaktiivinen kuvaaja | Interaktiivinen kuvaaja

position vs time
speed and acceleration