🇳🇴 🇬🇧 🇩🇪 🇨🇿 🇫🇮

Meteor, poloha: Nesbyen 2023-10-07 18:14:09 UTC

Soubor KML  |  InteraktivnĂ­ mapa

Mapa zobrazuje dráhy meteoru. Světlejší čáry ukazují směry od pozorovacích stanic při objevení se meteoru a tmavší čáry, kde byl naposledy viděn. Modrá šipka značí viditelnou dráhu meteoru.

static map
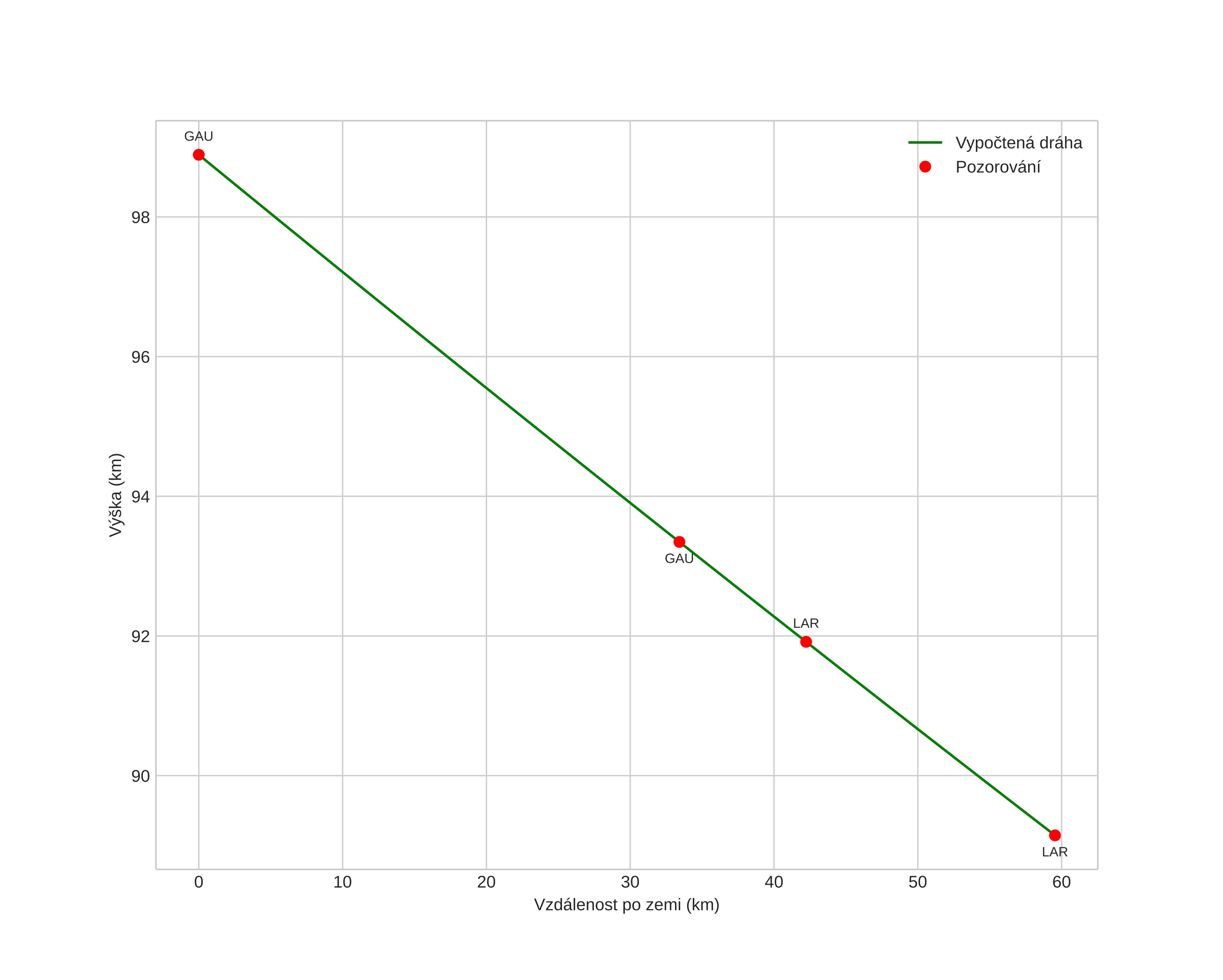
height profile
Atmosférická dráha meteoru:
Počáteční výška: 98,9 km
Konečná výška: 89,5 km
Počáteční poloha: 60,790N 10,186E
Konečná poloha: 60,754N 9,202E
Směr: 266,2°
Sklon: 10,0°
VstupnĂ­ rychlost: 34,1 km/s
Rektascenze radiantu: 01:56 (29,2°)
Deklinace radiantu: 8,1°
MeteorickĂ˝ roj: sporadickĂ˝
Elementy dráhy meteoroidu:
Vzdálenost v periheliu: 0,263 AU
Excentricita: 0,893
Sklon dráhy: 5,5°
Délka vzestupného uzlu: 13,9°
Argument perihelia: 124,2°
Střední anomálie: 349,8°
Epocha: 2023 OCT 07 18:14:09
orbit plot

NeinteraktivnĂ­ graf | InteraktivnĂ­ graf

position vs time
speed and acceleration