🇳🇴 🇬🇧 🇩🇪 🇨🇿 🇫🇮

Meteor Nesbyenin yllä 2023-10-07 18:14:09 UTC

KML-tiedosto  |  Interaktiivinen kartta

Kartta näyttää meteorin suuntahavainnot. Vaaleammat viivat näyttävät suunnat havaintoasemilta meteorin ilmestyessä, ja tummemmat viivat näyttävät, missä se viimeksi nähtiin. Sininen nuoli näyttää meteorin näkyvän lennon.

static map
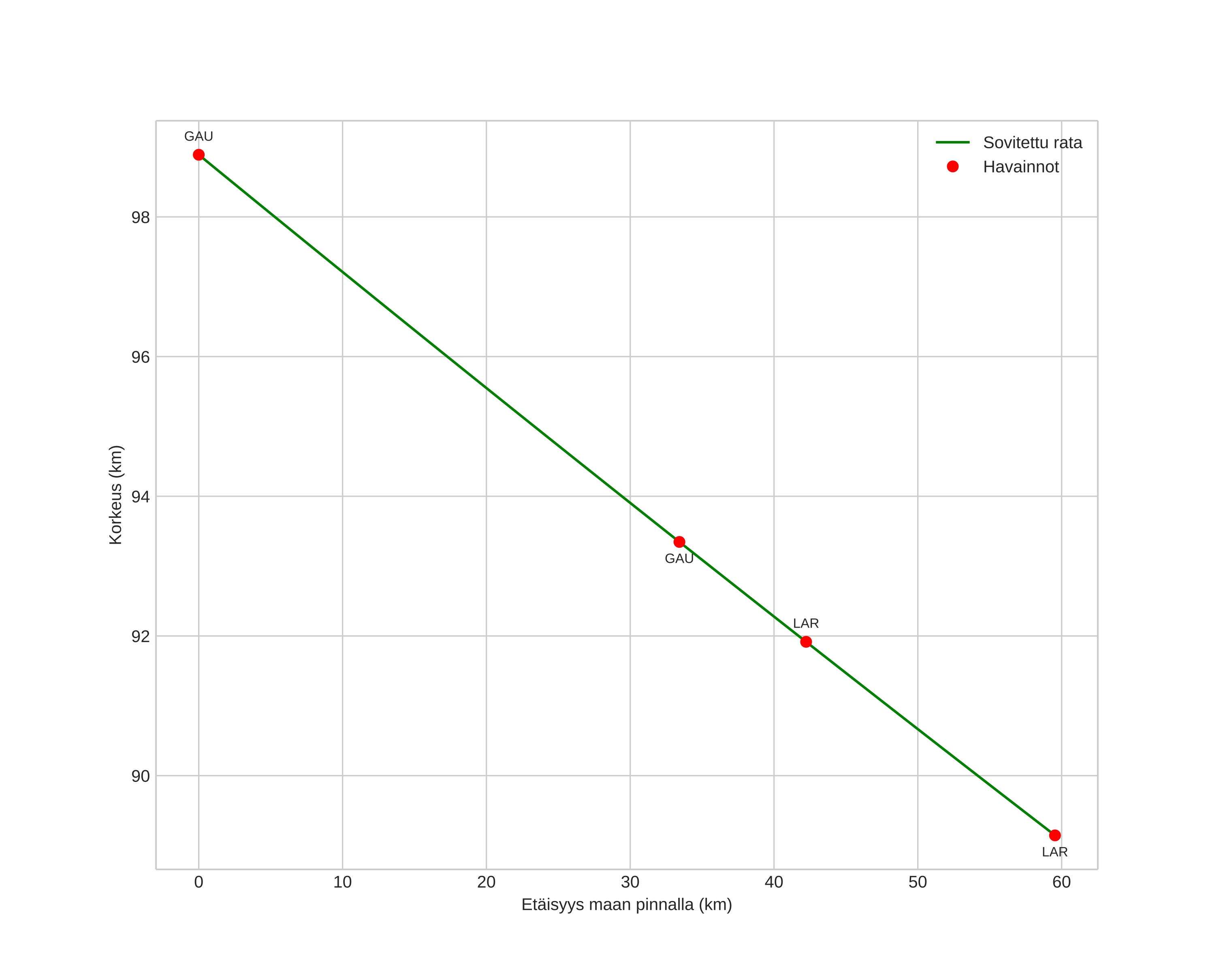
height profile
Meteorin ilmakehärata:
Alkukorkeus: 98,9 km
Loppukorkeus: 89,5 km
Alkupiste: 60,790N 10,186E
Loppupiste: 60,754N 9,202E
Suunta: 266,2°
Kallistuskulma: 10,0°
Tulonopeus: 34,1 km/s
Radiantin R,A,: 01:56 (29,2°)
Radiantin Dekl,: 8,1°
Meteoriparvi: Sporadinen
Meteoroidin rataelementit:
Perihelietäisyys: 0,263 AU
Eksentrisyys: 0,893
Inklinaatio: 5,5°
Nousevan solmun pituus: 13,9°
Perihelin argumentti: 124,2°
Keskianomalia: 349,8°
Epookki: 2023 OCT 07 18:14:09
orbit plot

Ei-interaktiivinen kuvaaja | Interaktiivinen kuvaaja

position vs time
speed and acceleration