🇳🇴 🇬🇧 🇩🇪 🇨🇿 🇫🇮

Meteor, poloha: Røyken 2023-10-09 23:24:10 UTC

Soubor KML  |  InteraktivnĂ­ mapa

Mapa zobrazuje dráhy meteoru. Světlejší čáry ukazují směry od pozorovacích stanic při objevení se meteoru a tmavší čáry, kde byl naposledy viděn. Modrá šipka značí viditelnou dráhu meteoru.

static map
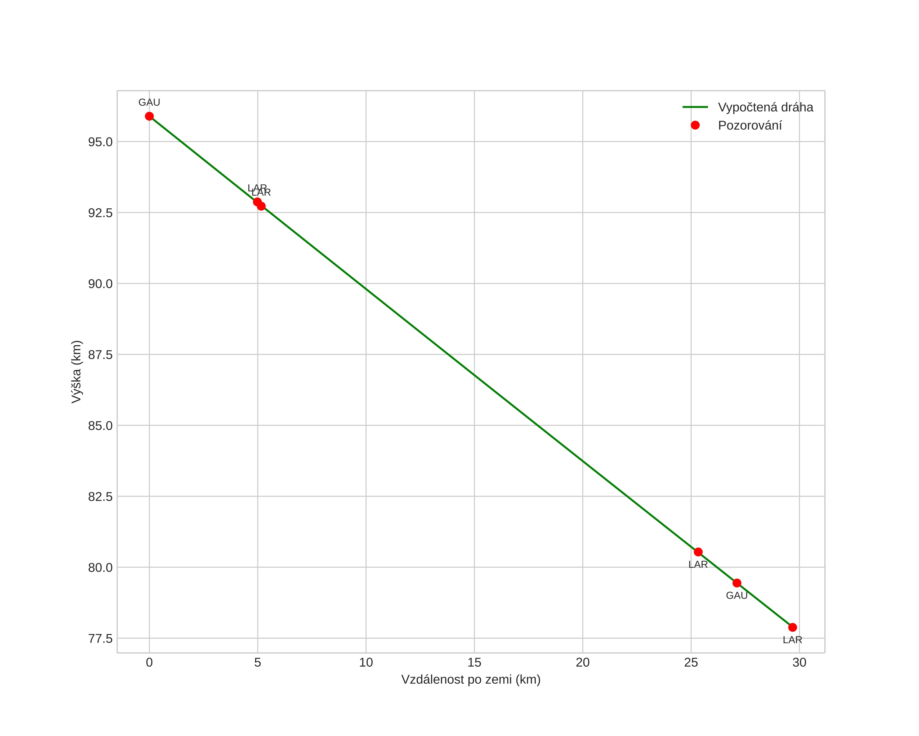
height profile
Atmosférická dráha meteoru:
Počáteční výška: 94,7 km
Konečná výška: 77,8 km
Počáteční poloha: 59,500N 10,395E
Konečná poloha: 59,751N 10,348E
Směr: 354,6°
Sklon: 31,1°
VstupnĂ­ rychlost: 30,1 km/s
Rektascenze radiantu: 01:34 (23,6°)
Deklinace radiantu: -1,9°
MeteorickĂ˝ roj: sporadickĂ˝
Elementy dráhy meteoroidu:
Vzdálenost v periheliu: 0,465 AU
Excentricita: 0,882
Sklon dráhy: 10,9°
Délka vzestupného uzlu: 16,1°
Argument perihelia: 98,0°
Střední anomálie: 354,8°
Epocha: 2023 OCT 09 23:24:10
orbit plot

NeinteraktivnĂ­ graf | InteraktivnĂ­ graf

position vs time
speed and acceleration