🇳🇴 🇬🇧 🇩🇪 🇨🇿 🇫🇮

Meteor Røykenin yllä 2023-10-09 23:24:10 UTC

KML-tiedosto

Kartta näyttää meteorin suuntahavainnot. Vaaleammat viivat näyttävät suunnat havaintoasemilta meteorin ilmestyessä, ja tummemmat viivat näyttävät, missä se viimeksi nähtiin. Sininen nuoli näyttää meteorin näkyvän lennon.

static map
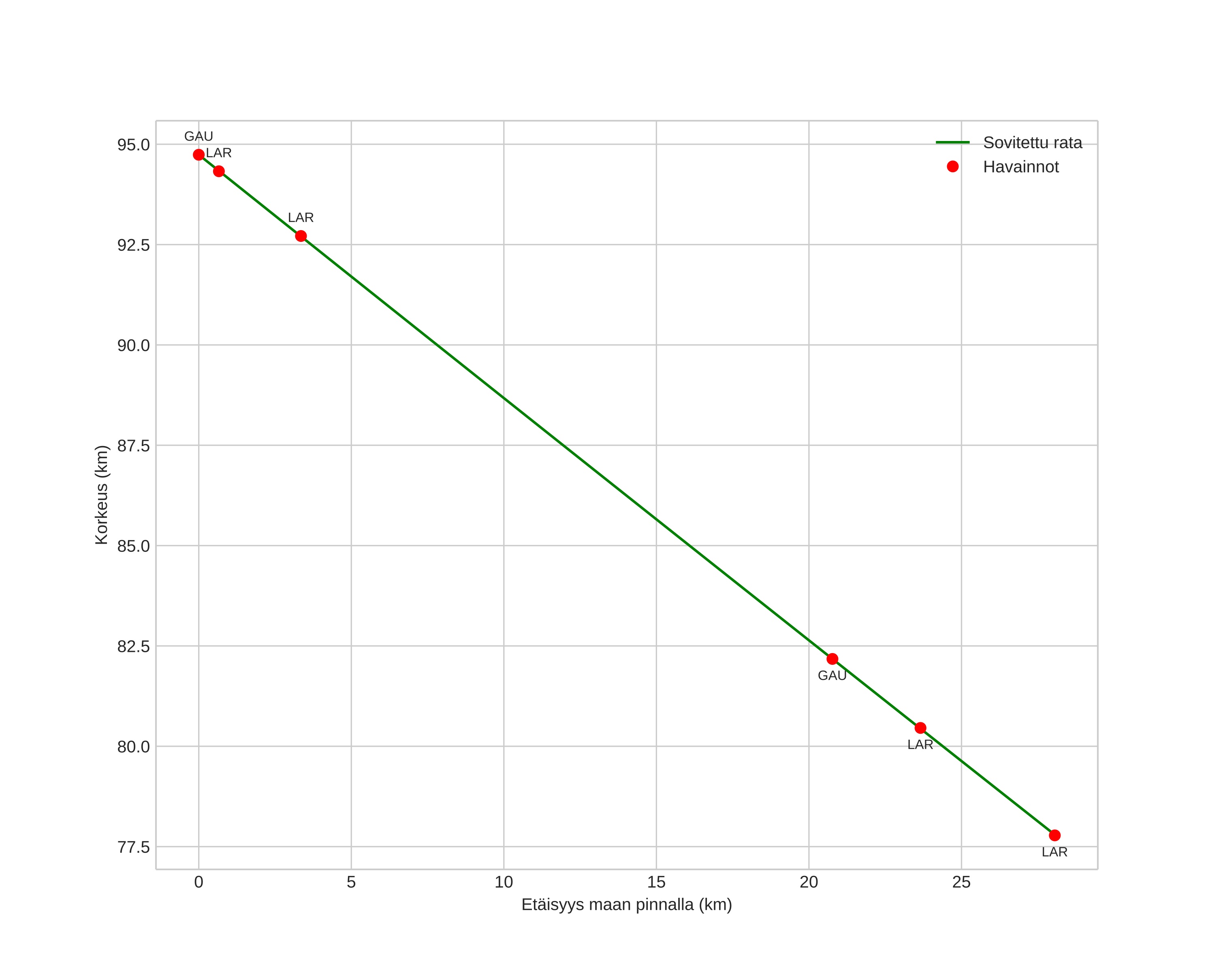
height profile
Meteorens atmosfæriske bane:
Starthøgde: 95,2 km
Slutthøgde: 80,1 km
Startposisjon: 59,493N 10,398E
Sluttposisjon: 59,716N 10,356E
Retning: 354,5°
Fallvinkel: 31,2°
Inngangshastighet: 30,1 km/s
Radiantens rektascensjon: 01:34 (23,7°)
Radiantens deklinasjon: -1,7°
Meteorsverm: sporadisk
Meteoroidens baneelement:
Perihelavstand: 0,463 AU
Eksentrisitet: 0,882
Inklinasjon: 10,9°
Knutelengde: 16,1°
Perihelargument: 98,4°
Midlere anomali: 354,7°
Epoke: 2023 OCT 09 23:24:10
orbit plot

Ei-interaktiivinen kuvaaja

position vs time
speed and acceleration

Gaustatoppen (GAU) cam4


gnomonic
Videoer
• Gnomonisk
• Gnomonisk med koordinater
• Original
• Original med koordinater
Bilder
• Gnomonisk
• Gnomonisk med koordinater
• Ukorrigert gnomonisk med koordinater
• Gnomonisk med annotering
• Ukorrigert gnomonisk med annotering
• Original
• Original med koordinater
Tekstfiler
• Deteksjon
• Observasjon
• Koordinater
• Feilmeldinger